Такой хоккей нам не нужен: Скилл или удача? Почему андердоги в хоккее лучше, чем в баскетболе?
Если бы у нас был своеобразный континуум, на левой стороне которого была удача, а на правой — мастерство, то как бы на нём расположились наши любимые виды спорта? Где-то посередине справа? Но в каком порядке?

На самом деле есть способ оценить это, используя статистику и логику.
« НБА - это наиболее отдалённый от удачи спорт. Больше всего от удачи зависит хоккей», — такое заключение сделал Майкл Мобуссен в своей книге «Уравнение успеха». Окей, мой тёзка прав, но почему так происходит?
Важным фактором в решении этого вопроса является размер выборки — количество игр в сезоне. Бейсбольные команды высшей лиги(МЛБ) проводят 162 игры за регулярный сезон. А теперь сравните это с американским футболом(НФЛ), где команды играют только 16 игр. Небольшой размер выборки подталкивает НФЛ в левую сторону континуума — в сторону удачи, так как, я думаю, это очевидно, что мастерство определяет дистанция.
Но количество игр не все объясняет. И в НХЛ, и в НБА, например, играют 82 игры за сезон. Таким образом, размещение их на континууме больше связано с сюжетом самой игры. В баскетболе у команды есть ограниченное время для атаки, то есть игроки вынуждены бросать, в отличие от хоккея, где ты можешь пассивно владеть шайбой в чужой зоне соперника, при этом не бросая хоть весь период.
Количество игроков тоже имеет значение. Теннис - это спорт, в котором индивидуальное мастерство играет гораздо большую роль, во многом потому, что не так много людей на корте. У тебя нет одноклубников, только ты и твоя ракетка, вот почему Серена Уильямс находилась на первом месте в течение 186 недель подряд — с 2013 по 2016. Когда мастерство доминирует, результаты более предсказуемы. В таких видах спорта как плавание или бег, результаты ещё индивидуальнее.
А вот в командных видах спорта больше игроков и больше взаимодействий. И важно не только то, сколько человек на поле одновременно, но и как владение распределено между игроками команды в течение игры. Бейсбол требует, чтобы девять нападающих в команде сменялись на битах. Не, ну а разве не было бы здорово, если бы лучший нападающий попадал по мячу каждый раз(тогда бы ему не приходилось меняться), а слабые игроки вообще мы не играли и не портили игру. В некотором смысле, в баскетболе, хоккее и футболе вы отчасти можете это сделать.
Я имею в виду, вы можете не менять Леброна, пока он не устанет, или сказать вашему первому звену меняться реже, чтобы они проводили больше времени на льду, но, очевидно, нельзя перебарщивать. Хоккей по своей сути очень быстрый и непредсказуемый, поэтому даже таким лучшим игрокам, как Линус Умарк, нужно отдыхать, ставя некоторые ограничения на их игровое время.
В то время как в американском футболе в основном именно комбинация(взаимопонимание) главного защитника — квотербека — и главного тренера становится самой важной, и именно она детерминант успеха.
Также в некоторых видах спорта для победы есть приоритетные антропометрические данные. В баскетболе, к примеру, твои шансы на победу выше, если ты очень высокий, и этот фактор правильнее будет отнести именно к мастерству. Понятно, что это как бы удача, но мы тут говорим про удачу именно в момент игры. То есть, каким ты родился, так тебе и повезло. Во время игры рост ни у кого не изменяется, поэтому это все-таки мастерство. Иными словами, в баскетболе средний рост 185-190см, есть двухметровые игроки, которые более мастеровитее, и есть игроки пониже, которые не так искусны. Футбол и хоккей не требуют определённого типа телосложения, так что там разница в мастерстве среднего игрока игрока меньше, поэтому больше удачи.
Чтобы понять, что это значит, вы должны увидеть, как все это вычислил Мобуссен. Сейчас будет немного сложно для понимания. Дисперсия - это показатель того, насколько разбросаны данные.

За сезон некоторые команды выигрывают примерно половину своих игр, а некоторые - намного лучше, некоторые намного хуже. Так что, если дисперсия является мерой того, насколько распределены эти победы и поражения для лиги, вы можете видеть, что дисперсия в баскетболе выше, чем в хоккее.
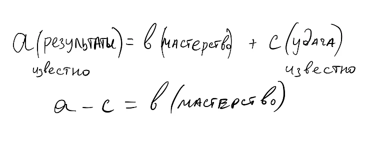
Есть так называемая простейшая формула для вычисления мастерства. Для наших целей уравнение выглядит так:

Мастерство плюс удача равны всему, что случилось. Итак, вы наверняка думаете о том, как мы применим это к спорту? Мы будем использовать баскетбол в качестве примера. Так что же мы знаем? Баскетбольные команды. Как было отмечено ранее, за сезон некоторые команды выигрывают примерно половину своих игр, некоторые - намного больше, а некоторые намного меньше. Так что, если дисперсия является мерой того, насколько распределены эти победы и поражения для лиги, можно сказать, что дисперсия в баскетболе выше, чем в хоккее. Другая часть уравнения оценивает, какими будут результаты в мире удачи. Разница в удаче варьируется от спорта к спорту в зависимости от того, сколько игр в сезоне. Чем больше игр, тем меньше "разброс" везения, ровно так же как с подбрасыванием монетки — чем больше раз вы подбрасываете, тем ближе ваши данные доходят до 50-50.
Теперь у нас есть два из трех частей уравнения, и это позволяет оценить мастерство.

Мобуссен в своих вычислениях усреднил результаты 5 сезонов для каждого вида спорта, и вот что получилось:

Важно понимать, что все вышесказанное относится к регулярному сезону, в плей-офф дела обстоят по-другому.
Так или иначе, спорт остаётся спортом, и победить может каждый - за это мы его и любим.
Счастливо!













всё проще. в баскетбол играют руками, а не ногами или палками. рукой с 5 пальцами без перчатки (внезапно) человек управляет намного лучше, чем ногой в соккере. а в хоккее вообще вместо круглого снаряда - снаряд менее идеальной формы (т.е. рандомность его поведения резко возврастает в виду наличия у него разных поверхностей с разной геометрией, ибо он не шар), да ещё и лупят по нему палкой, что управляемости действиям тоже не придаёт.
поэтому хоккей самый рандомный вид спорта ака "лупи посильнее, а там куда бох пошлят"