Обновленный «Ювентус»: как Джунтоли заработал на революции
Для всех грандов европейского футбола характерно такое явление, как обновление. Оно подразумевает перемены как локального, так и общего характера по различным причинам. Будь то смена поколений, накопление долгов, изменение руководящего состава – не важно, момент потребности в массовых изменениях самой сути работы клуба вкупе с основными фундаментальными основами неизбежно наступает, как бы ты заранее не готовился к тому, чтобы его отсрочить. После феноменальной по своему содержанию эпохи Андреа Аньелли в «Ювентусе» назрела та самая потребность в обновлении.
Мы наблюдали попытки перестройки еще при Джузеппе Маротте, когда итальянский менеджер пытался выстроить финансовую систему на рельсы самообеспечения: высокая прибыль с продажи ТВ прав и постоянные призовые с различных турниров должны были покрыть расходы на огромные зарплаты, а точечные усиления состава достигались либо путем предварительной продажи крупных продаж, аля Погба, либо путем привлечения услуг свободных агентов. Тем не менее, президент «Юве» стремился покорять новые вершины здесь и сейчас, не откладывая рост на потом.
Он требовал подписывать крупнейших доступных звезд, чтобы наконец взять заветный кубок Лиги чемпионов. Прецедент с покупкой Криштиану Роналду за сумасшедшие для «Ювентуса» 120 млн евро с зарплатой, которая оказывала давление на бюджет под 50 млн евро в год, стал причиной разрыва трудовых отношений между Беппе и Андреа: первый нынче президентствует в «Интере» и готовится бороться за второе Скуддето подряд, а последний уехал из страны, продавая все имеющиеся ключевые активы.

Затем грянул коронавирус, и преемник Маротты, его правая рука со времен Сампдории Фабио Паратичи, открыл для себя прелесть функционального применения процедуры прироста капитала с каждой сделки, она же плюсваленца. С учетом бесконечного превалирования долговых обязательств над статьей доходов, выяснилось, что отражать прибыль на бумаге куда легче, нежели искать ее в реальных сделках. Если вкратце, то Паратичи организовал систему наращивания прибыли в момент регистрации сделок, указывая в графе «доход/расход» удобные на свой взгляд цифры, чтобы в бюджете затем отражать высокую ликвидность трансфера, обеспечивая приток прибыли.

Увы, комиссию по ценным бумагам такой расклад не устроил, ведь подобные ходы отражались и на росте акций «Ювентуса». А котировки на бирже приносили прибыль уже иного толка и прямо в карман акционерам. Владелец клуба прикрыл лавочку, снял с работы весь Совет директоров и управляющий состав ключевых ведомств, назначил своих людей и привлек одного из главных гениев рынка последних лет – Кристиано Джунтоли. И сегодня нам предстоит взглянуть на плоды его работ в «Юве» по итогам завершившегося трансферного окна.
Разумеется, тут же обозначим, что оценка будет следовать исходя из экономических деталей совершенных сделок с учетом их потенциала и давления на бюджет. Косвенно затронем и привлечение кадров относительно прямых требований главного тренера, но этот момент куда ярче проявит себя уже на дистанции, и мы куда подробнее его разберем уже следующим летом после первого полноценного сезона работы Тьяго Мотты во главе «Ювентуса». Итак, как Джунтоли сумел за два месяца организовать кадровую и финансовую революцию, сумев на этом заработать?
Подписывайтесь, устраивайтесь поудобнее, и мы начинаем:
ТЕЛЕГРАМ-КАНАЛ ЮВЕНТУС/HARRY HOLE

Трансферы на вход
Тен Коопмейнерс: прибыл из «Аталанты» в «Ювентус» трансфером за 54,7 млн + 6 млн бонусами.
Главный футболист системы Гасперини последних лет и ведущая атакующая сила бергамасков. Тен больше года ждал трансфера в большую команду, о чем впервые заявил в марте этого года. Затем началась невиданная по накалу страстей и градусу ожидания трансферная кампания, завершившаяся только 28 августа. Коопмейнерса отлучили от тренировок, ему отказали в доступе на базу «Аталанты», игрок оказался вынужден прибегать к услугам психотерапевта, который выдал заключение о зачатках депрессии и сильном психологическом давлении на Тена. В итоге переход состоялся!

Дуглас Луис: прибыл из «Астон Виллы» в «Ювентус» трансфером за 50 млн + 1,5 млн бонусами.
Луис стал первым ударом Джунтоли на трансферном рынке прошедшим летом. Не секрет, что «Астон Вилла» оказалась в положении нуждающихся в деньгах до конца июня, поскольку бюджет не вписывался в допустимые границы правил ФФП. Джунтоли сыграл на этом и добился заключения сделки на своих условиях: в момент перехода Дуглас котировался на рынке с ценником выше 70 млн евро. В обратную сторону отправились выпускники второй команды «Юве» с такими же облегченными ценниками, клубы хлопнули по рукам, и так туринцы получили в свое распоряжение одного из сильнейших полузащитников АПЛ прошлого сезона.

Кефрен Тюрам: прибыл из «Ниццы» в «Ювентус» трансфером за 20 млн + 0,6 млн бонусами.
Переход из категории «интуиция, умноженная на перспективы». Тюрам работает в опорной зоне, что весьма подходит Тьяго Мотте с учетом его любви к выходу из обороны в короткий пас. Локателли явно не справлялся с функционалом в одиночку, и ему требовался напарник. Кефрен еще очень молод, ему 23 года, и это его первый вызов на столь высоком уровне с точки зрения ожиданий и амбиций. Ему предстоит доказать, что он готов к основе большого клуба, но выплаченная трансферная стоимость позволяет нам предполагать, что в перспективе Джунтоли сорвал настоящий куш.

Хуан Кабал: прибыл из «Вероны» в «Ювентус» трансфером за 10 млн + 2,8 млн бонусами.
Не самая очевидная сделка Джунтоли по своему характеру, но блестящая по исполнению. О желании «Юве» забрать одного из главных героев «Вероны» второй половины прошедшего сезона не знал никто: инсайдеры ухватились за нить только тогда, когда сам Хуан уже ехал на поезде в Турин для обследования. До последних секунд его якобы вел «Интер», но случилось так, как случилось. Игрок – истинное откровение весенного спурта веронского клуба, поскольку до того момента Кабал сидел в глубоком резерве, играл преимущественно ближе к центру обороны, играл откровенно из рук вон плохо, ненадежно, никто бы не поверил, что следующий сезон он начнет в основе «Юве». Но все же это случилось, и в первых же играх Кабал проявил себя с лучшей стороны.

Нико Гонсалес: прибыл из «Фиорентины» в «Ювентус» в аренду за 8,4 млн + обязательство выкупа за 25 млн + 5 млн бонусами.
Как известно, владелец тосканского клуба Комиссо никогда не упускает возможности хорошо заработать на продаже своих лучших активов «Ювентусу». Болельщики без устали ругают его за это, но суть в том, что именно «Ювентус» по итогу платит столь огромные деньги за игроков «фиалок», не чураясь даже завышенных ценников. Вот и Нико стал предметом долгого обсуждения сторон, но не в плане итоговой стоимости, а в разрезе оформления самой сделки, чтобы и Джунтоли не попал впросак, и Комиссо по итогу сумел порядком заработать. В итоге Гонсалес отыграет год в аренде за 8 млн евро, затем вступит в силу обязательство выкупа за 25 млн плюс своеобразные бонусы в общей сложности на 5 млн евро. «Фиорентина» получит желаемые 40 млн, Джунтоли почти ничего не тратит здесь и сейчас.

Франциско Консейсао: прибыл из «Порту» в «Ювентус» в аренду за 7 млн евро + 3 млн бонусами.
Молодой латераль португальского суперклуба и по совместительству сын их тренера стал очередным открытием португальской лиги последних сезонов. Франциско второй год подряд занимает лидирующие позиции среди лучших дриблеров Европы, умеет играть с обоих флангов как в защите, так и в атаке, и за эту радость от «Ювентуса» требовали 40 млн евро. Разумеется, Джунтоли не имел возможности оформления прямого трансфера, тем более за такие деньги. Стороны решили обыграть любимую схему личных договоренностей: Франциско сыграет год в аренде, за которую «Юве» платит очень дорого по меркам временных обязательств, и без включения в соглашение пункта обязательного выкупа. Однако следующим летом – в июне – у Консейсао в его контракте с «Порту» вступит в силу пункт возможности выкупа контракта любым клубом за 30 млн евро. С июля клаусула увеличится до 45 млн евро. И якобы Джунтоли уже договорился о том, чтобы «Юве» сохранил за собой право первоочередного выкупа в июне за 30 млн евро, но в рамках пока всего лишь устных договоренностей.

Микеле Ди Грегорио: прибыл из «Монцы» в «Ювентус» в аренду за 4,5 млн евро + обязательство выкупа за 13,5 млн + 2 млн бонусами.
Очередная сделка из разряда «спорных», поскольку клуб ради контракта с воспитанником «Интера» пожертвовал одним из лучших киперов Европы Войцехом Щенсны. Ключевым аргументом в споре о выгоде от подобного перехода стала высокая зарплата поляка – Микеле же получает всего 2 млн евро, что в три раза меньше, чем получал Войцех. Авансы самому Ди Грегорио выданы великолепные, ведь это как ни крути лучший кипер Серии А прошлого года. Но так ли был нужен подобный сменщик здесь и сейчас – серьезный и дискуссионный вопрос. Сам же Щенсны не пожелал играть за другие команды, продемонстрировав истинную преданность «Юве» и его фанатам: объявил о завершении карьеры, согласившись предварительно разорвать с клубом контракт с минимальной компенсацией лишь части зарплаты. Войцех мечтал завершить карьеру в «Ювентусе» – он это сделал!

Пьер Калюлю: прибыл из «Милана» в «Ювентус» в аренду за 3,3 млн евро + право выкупа за 15 млн + 3 млн бонусами.
Переход, заставляющий нас вспомнить о важности контекста. Пару лет назад переход Калюлю в любой европейский гранд воспринимался бы как само собой разумеющийся факт – игрок прогрессировал не по дням, а по часам, прекрасно себя чувствовал по всей ширине поля в оборонительном звене, умел играть с обоих флангов, демонстрировал высокую точность коротких передач, часто и вполне успешно подключался к атакам «Милана», но затем выбыл на год после тяжелейшей травмы... Сам Калюлю не рад такому водовороту событий, поскольку он искренне любит «Милан», и мечтает занять свое место в системе на долгие годы. Тем печальнее выглядит столь вынужденный переход, поскольку и «Юве» не собирался его подписывать, но перед этим дважды обжегся на переговорах по трансферам Калафьори и Тодибо – выбора не оставалось, равно как и денег. В итоге никто не рад, но играть нужно. А там – кто знает, как сложится...

Отдельным предложением: Йонас Рухи, Самюэль Мбангула, Аджич и Николо Савона были интегрированы в первый состав «Ювентуса» из «NextGen».
Настоящая сенсация от Тьяго Мотты, который исключил из состава Кьезу и Костича, но доверился Савоне и Мбангуле в первых же играх Серии А. Оба выпускника молодежной команды впервые играли в первом дивизионе, и оба успели отметиться голами. Феноменальный успех на фоне абсолютной неожиданности. Аджич изначально приобретался во вторую команду, но после предсезонки Мотта пообещал ему место в основе, даром что в августе Василь получил травму. Рухи пока лишь неплохо побегал в предоставленные ему редкие минуты, но сам факт наличия возможности фактически бесплатно обеспечивать заявку такими кадрами – это огромное подспорье с точки зрения сохранения бюджета.

Трансферы на выход
Матиас Суле: перешел из «Ювентуса» в «Рому» трансфером за 22,4 млн евро + 4 млн бонусами.
Вероятно, это главная печаль для болельщиков «Ювентуса» по итогам прошедшего трансферного окна. Порядка двух лет назад Федерико Керубини, будучи на тот момент спортивным директором клуба, провел пресс-конференцию в сентябре, где с помпой и оркестром объявил о регистрации в основной команде трех превосходнейших футболистов, прошедших молодежную академию и U-23 «Ювентуса» – Фабио Миретти, Николо Фаджоли и Матиаса Суле. Фаджоли долго боролся сперва за место в основе, затем страдал от дисквалификации ввиду ставок, и нынче старается восполнить пробелы в подготовке, являя лишь тень самого себя образца прошлых лет. Миретти был близок к сотне матчей за первую команду, хотя едва разменял 21 год, но ощутимый прогресс так и не пришел – игрока отправили в «Дженоа» поиграть в аренде. А вот Суле провел весьма солидный сезон во «Фрозиноне», наработал прекрасную статистику голов и голевых передач, стал лучшим дриблером чемпионата, одним из главных открытий чемпионата, но все равно оказался не нужен «Ювентусу». Время покажет, было ли это правильным решением.

Дин Хейсен: перешел из «Ювентуса» в «Борнмут» трансфером за 12 млн евро + 3,2 млн бонусами.
Очередной талант из молодежной системы «Ювентуса», который заметно перерос уровень Серии С, но не сумел доказать свою пригодность для основного состава. Привычно в такой ситуации управление «Юве» отталкивается от востребованности актива на рынке и потребности обеспечить игроку постоянную практику. На Дина был заметный спрос, потому Джунтоли не стал ограничиваться очередной арендой, и продал футболиста за солидные деньги, учитывая его возраст и весьма скромный профессиональный опыт. Хейсен был хорош в «Роме», но отсутствие упомянутого ранее опыта привели к тому, что его усадили в резерв. До этого он попробовал себя в первой команде «Юве», и тоже не сумел вылезти из статуса резервиста. Верный выбор для обеих сторон, хоть и сегодня кажется, что за Дина можно было бы выручить и побольше, с учетом его яркого дебюта за новую команду.

Самюэль Илинг-Джуниор: перешел из «Ювентуса» в «Астон Виллу» трансфером за 12 млн евро + 2 млн бонусами.
Выпускник «NextGen», ставший разменной монетой в сделке по Дугласу Луису. Сегодня уже очевидно, что в игроке не нуждался ни английский клуб, ни туринский, но для оформления сделки с понижением реальной стоимости итоговых выплат потребовалось в обратную сторону снарядить футболиста, который хоть чего-то стоит. Самюэль был полезен Аллегри в прошлом году, особенно на фоне проблем Филипа Костича, но при связке с Кьезой англичанин больше мешал, нежели помогал. Джунтоли сперва рассматривал аренду как выход, но после первых контактов с «Астон Виллой» клубы увидели в Джуниоре возможность. Возможность выхода из-под давления ФФП и беспрепятственного заключения сделки на выходных условиях. Илинг-Джуниор месяц потренировался с новым клубом, и тут же вернулся в Серию А на правах аренды – его взяла себе «Болонья». Печальная глава в карьере весьма талантливого футболиста...

Энцо Барренечеа: перешел из «Ювентуса» в «Астон Виллу» трансфером за 7 млн евро + 1 бонусами.
Выделяем и копируем всю информацию из предыдущего поста по Илингу и включаем ее сюда. Правда с небольшими уточнениями: Энцо, в отличие от коллеги, провел прошлый сезон не в «Юве», а во «Фрозиноне», был весьма успешен с точки зрения индивидуальной статистики, и первоначально вообще не рассматривался клубом на выход. Сперва Джунтоли намеревался закрыть сделку по Луису близко к нулевому сальдо, включив в обратное соглашение помимо Илинга-Джуниора Уэстона Маккенни, за которого удалось бы выручить порядка 30 млн евро на бумаге. Но американец встал в позу и отказался уходить, посему руководству туринцев пришлось импровизировать. Барренечеа торговался за меньшую стоимость, потому «Ювентус» не досчитался с двух десятков млн, которые планировал вложить в усиление обороны. Исход ровно такой же: Барренечеа был абсолютно не нужен «Астон Вилле», в связи с чем тут же, как и его партнер, уехал в аренду – его взяла себе «Валенсия».

Мойзе Кин: перешел из «Ювентуса» в «Фиорентину» трансфером за 13 млн евро + 7 млн бонусами.
В отличие от своих коллег, Кин уже давно не пользовался поддержкой со стороны клуба и болельщиков. Нередко освистываемый выпускник молодежной академии «Юве» провел худший год в своей карьере, не сумев забить ни одного гола в Серии А с апреля 2023 года. При этом Мойзе все равно зачастую был полезен: отрабатывал в прессинге, спускался в центр поля при необходимости, никогда не жаловался на замены, до последних секунд старался найти мяч впереди и забить наконец свой гол. Но увы, после несостоявшегося зимнего перехода в «Атлетико» Кин превратился в персону нон-грата. Все осознали, что итальянцу больше не хочется носить черно-белую футболку, биться за конкуренцию ему больше тоже не интересно, а в социальных сетях Мойзе куда чаще хвастался новыми достижениями в области музыки, нежели акцентировал свое внимание на футболе. Итоговые 20 млн евро за такого форварда видятся настоящим подарком от Комиссо, посмотрим, обретет ли себя заново Кин на новом месте.

Федерико Кьеза: перешел из «Ювентуса» в «Ливерпуль» трансфером за 12 млн евро + 3 млн бонусами.
То, что Федерико пережил прошедшим летом, нельзя назвать иначе, чем кошмар. Вчерашний герой «Ювентуса» и главный любимец болельщиков мановением руки превратился в изгоя. И причина тому – отсутствие продления контракта и попытки клубного руководства как можно скорее избавиться от игрока, готового уйти через год бесплатно. Слухов по сети гуляло множество: от желания Кьезы получать огромную зарплату и следующий за этим бунт, до прямого желания Мотты убрать Федерико из команды, поскольку последний не вписывается в схемы нового тренера.
Кьезу то исключали из состава, то возвращали, игрок то постил черно-белые сердечки и писал мотивационные сообщения о своем желании играть за «Юве», то давал интервью, где открыто радовался долгожданному бегству. До травмы аккурат после Евро 2021 Кьеза оценивался по рынку в пределах 100 млн евро, и даже якобы за него столько же предлагали «Бавария» и «Реал». Сегодня же Федерико сидит в резерве «Ливерпуля», получая по новому контракту столько же, сколько получал в «Ювентусе». Абсурдная ситуация, преисполненная драматизмом и шекспировскими конфликтами. Но вышло так, как вышло.

Войцех Щенсны: ушел из «Ювентуса» свободным агентом и завершил карьеру.
Вместе с Войцехом ушла целая эпоха. Польскому голкиперу предстояла сложнейшая участь – взять на себя образ наследника самого Буффона, тем самым налагая несбыточные мечты и невыполнимые обязательства, постоянно подвергаясь критике за то, что играет не столь же ярко, как сам великий Джиджи. Но даже при всем этом Щенсны справился, став любимцем публики.
На каждую внезапную ошибку находилось с пяток великолепных сейвов, на каждый пропущенный гол Щенсны отвечал феноменальными перфомансами, выручая команду от 3-4 голов там, где они уже казались неизбежными. И когда Войцех подкрепил свои слова о том, что кроме «Юве» он себя больше нигде не видит объявлением о внезапном завершении карьеры, болельщики единогласно объявили вратаря одним из лучших вратарей Серии А прошедшего десятилетия. И вполне заслуженно.

Кони Де Винтер: ушел из «Ювентуса» в «Дженоа» трансфером за 8 млн евро.
Трансфер, который по факту свершился еще год назад. Когда Кони уходил в аренду, в его соглашении числилось обязательство выкупа, которое стало активным в феврале текущего года. «Дженоа» получили в свое распоряжение весьма талантливого выпускника все из того же «NextGen», а «Ювентус» в очередной раз вписал в доход чистую плюсваленцу с весьма солидной прибылью. Де Винтер попытал счастья в первой команде, но не выдержал конкуренции. Стороны в очередной раз сделали выбор в пользу скорой прибыли и отпустили футболиста, не заключая его в кандалы бесчисленных аренд, как это делал клуб на протяжении прошлых лет из раза в раз.

Кайо Жорже: ушел из «Ювентуса» в «Крузейро» трансфером за 6 млн евро + 1 млн бонусами.
Переезд Неймара из «Сантоса» в «Барселону» долгое время был ориентиром для европейских клубов. Гранды стремились повторить столь громкую историю, вытаскивая из бразильских лиг едва выстреливших юниоров за большие деньги, то и дело называя их «будущими Пеле». Не стал исключением и «Ювентус», причем своего героя туринцы нашли аккурат все в том же «Сантосе». Жорже показывал умопомрачительные голевые результаты, отмечался классной техникой работы с мячом, все указывало на успех предприятия. Но вот Кайо оказался в Италии, столкнулся с защитниками высокого уровня, не сумел выстрелить даже в Серии С за вторую команду клуба, сломал ногу, потерял в скорости, год провел на реабилитации, побегал сезон в аренде за «Фрозиноне», и затем принял верное решение вернуться в комфортные южноамериканские футбольные реалии.

Алекс Сандро: ушел из «Ювентуса» свободным агентом.
Одна из самых грустных историй стагнации топового футболиста в стане «Ювентуса» со времен работы Массимилиано Аллегри в его первый приход. Сандро прибыл из «Порту» просто подающим большие надежды игроком, но за год превратился в истинного монстра обороны. Скоростный и физически сильный латераль, способный играть на фланге, в центре обороны, в атаке едва ли не форвардом, Сандро вытеснил из основы Патриса Эвра и надолго застолбил за собой место левого флангового защитника «Ювентуса».
Алекс прошел с клубом все возможные приключения: был в финале Лиги чемпионов, привык отмечать победы в Серии А, столкнулся с хейтом болельщиков и давлению СМИ в период судебных скандалов, и ни разу ни один фанат не услышал от него дурного слова. Напротив, Сандро в момент своей прощальной речи не выдержал и разразился слезами, назвав клуб своей второй семьей, в последнем матче отметился голом, после чего трибуны Альянца стоя аплодировали бразильцу, а партнеры по команде не отпускали из своих крепких объятий. Счастливая история со своим грустным, но правильным драматичным концом.

Адриен Рабьо: ушел из «Ювентуса» свободным агентом.
Один из самых высокооплачиваемых футболистов Серии А, и наряду с этим едва ли не лучший игрок «Ювентуса» последних сезонов. Рабьо за годы карьеры приобрел славу «маменького сыночка», оставляя трансферные и контрактные заботы своей маме, по совместительству являющуюся его агентом. Вероник Рабьо взяла курс на постоянное повышение условий заработной платы, чтобы Адриен ни в чем и никогда не нуждался. Постоянные и затяжные переговоры с Вероник превращались в настоящий ад для Джунтоли и его предшественников, по итогам которых Рабьо продолжал получать большие деньги и играть на вполне себе высоком уровне.
И все же наступил тот день, когда Адриен решил, что достоин большего. Джунтоли до последнего пытался сохранить игрока в структуре клуба, обещая сохранение текущих условий, но Рабьо поехал на Евро, после которого так и не вышел на контакт с командой. Контракт истек, обязательств нет – странное прощание после стольких лет.

Отдельным предложением: Николусси Кавилья, Гонсалес, Миретти, Де Шильо и Ругани покинули команду на правах аренды с определенными условиями выкупа.
Не только на Сандро и Щенсны закончилась эпоха Аллегри и Аньелли. Вместе с ними команду покинули Де Шильо и Ругани, долгие годы считавшиеся наследниками итальянских легендарных футболистов в сфере оборонительного ремесла. И оба, мягко говоря, провалились на сим поприще, оставаясь хорошими защитниками со своими изъянами. Миретти отбыл лишь на год ради получения постоянной практики, Гонсалес и вовсе пока за «Юве» так ни разу и не сыграл, а Кавилья наконец нашел для себя место в стане «Венеции, где он сможет в полной мере реализовать свой весьма солидный потенциал, не теряя при этом времени в резерве.

Общая оценка экономической составляющей прошедших сделок.
Правовое поле европейского законодательства в области финансового оборота позволяет футбольным клубам по-разному играться с итоговыми платежами по своим активам. В первую очередь это касается потребности в выплатах по совершенным переходам в конкретный период. Редкий клуб сразу и в полной мере оплачивает контракт прибывшего футболиста, зачастую любые выплаты разбиваются сразу на несколько отчетных периодов, тем самым снижая влияние на бюджет компании в нынешнем году. Кажется, что это вполне себе приятная сторона медали, но есть конечно же и обратный эффект: клуб налагает на себя обязательства выплат сразу на несколько лет, что будет иметь значение при определении стратегии на следующие ТО: при покупке новых игроков, клуб будет ограничен в средствах, ведь ему еще потребуется расплачиваться за футболистов, пришедших ранее.
«Ювентус» купил игроков на 197 млн, а продал на 101 млн.

Распределяя выплаты по всем совершенным сделкам, включая смену тренера, «Ювентус» с учетом амортизации заработной платы и ее эффекта на бюджет получил отрицательное сальдо между покупками и продажами всего на 19 млн евро. При этом очень важно упомянуть, что при учете прироста капитала, который клуб получил с каждой совершенной сделки, бюджет не потерял, а наоборот – заработал за это ТО порядка 47 млн евро!

В пользу клуба идет не только прибыль с продажи игрока, но и высвободившаяся зарплата за оставшиеся по контракту годы плюс разница между затраченными средствами на приобретение этого игрока ранее и продажей его на нынешних условиях. Как пример, с продажи Кьезы «Юве» заработали чистым доходом 13,2 млн. При этом с учетом налога клуб был вынужден выплачивать ему зарплату порядка 9,26 млн за последний по контракту год. Итого чистая прибыль в совокупности составила 22,46 млн с совершенной сделки. И тут огромную роль играют условия арендованных игроков клубом, поскольку их зарплату (частично или в полном объеме) продолжает выплачивать их действующий работодатель.
Колоссальную роль в регистрации прибыли сыграл тот факт, что весомую долю с продаж «Ювентус» оформил, продавая выпускников своего же проекта «NextGen». Фактически вся часть дохода, полученная с их продажи, уходила и в плюсваленцу, вкупе с амортизацией по контрактам, которые ранее клубу ничего не стоили. Также необходимо обозначить и приоритет Джунтоли на отказ от ухода футболистов свободными агентами, за исключением редких случаев: Щенсны, Рабьо и Сандро лишь на троих сумели высвободить в статье расходов на зарплаты огромнейшую долю, которой хватило на покрытие зарплат всех новичков, и даже немного осталось – затраты зарплатного фонда по итогам ТО сократились на 8 млн, что является первым случаем для «Ювентуса» за последние 15 лет.

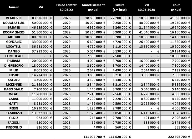
С учетом череды продлений контрактов действующих игроков, прихода новичков и продажи ликвидных активов, на текущий момент валовая стоимость всех текущий контрактов «Юве» составляет порядка 222 млн евро. В нее вошли затраты на трансфер каждого действующего футболиста при амортизации на оставшийся срок действия соглашений, их зарплата с налогом и действующая выплата по оставшимся обязательствам (так, все заключенные сделки с новыми игроками разбиты на 3-4 года платежей).

Операции по продажам должны иметь, по оценкам Calcio e Finanza, положительное влияние в размере около 160 миллионов евро для бюджета на 2024/25 год. Эту цифру можно достичь, сложив реализованные капитальные приросты/убытки, амортизацию (в случае игроков, проданных сразу) и сбережений на валовой стороне для игроков, которые покинули команду, по сравнению с сезоном 2023/24.
Таким образом, между доходами и расходами влияние на бюджет трансфертного рынка на 2024/25 год должно быть, по оценкам, положительным на сумму около 73,9 млн евро.
Подытожим. Кристиано Джунтоли провел образцовую с точки зрения экономической оценки революцию в «Ювентусе». В команде сменился тренер, фактически весь состав отсортирован с нуля, от неликвидна удалось избавиться едва ли не целиком – в минус идут лишь Джало, Костич и Артур – на каждую искомую позицию подобрано качественное усиление. Нынче состав Тьяго Мотты потенциально на бумаге готов составить прямую конкуренцию действующему чемпиону Серии А в борьбе за Скудетто.
Помимо прочего, команда обладает резервом для борьбы и за Кубок Италии, и за продвижение в Лиге чемпионов в стадию плей-офф. И это очень важно, ведь значительная часть заработанных средств пойдет на погашение вышеупомянутых обязательств по заключенным летом соглашениям, которые составят весьма солидную сумму. Потому у Мотты нет времени на раскачку, от него требуется достигать высоких мест здесь и сейчас, в противном случае эффект от совершенной революции нивелируется и вынудить откатываться к заводским настройками.
Спортивный директор «Юве» провел не просто кадровую чистку, он ввел определенные принципы, которые на дистанции могут позволять обновлять состав без критических вливаний стороннего бюджета, ограничиваясь собственными ресурсами. Введенный потолок заработных плат позволит контролировать влияние контрактов на бюджет в пределе имеющихся возможностей, не позволяя тем самым прихотям агентов оказывать негативное влияние на доходную часть. И это может в будущем оказать огромнейшее значение на строительство чемпионской династии «Ювентуса», если такая будет иметь место.
Следим за командой в этом сезоне, и после его окончания подведем итоги корректности составленных изначально выводов о полезности привезенных Джунтоли активов для Мотты.





















Да, Джун продемонстрировал на практике, как он умеет распоряжаться капиталом. Теперь осталось на дистанции проверить, насколько столь весомые вложения окупятся
+ ждать, что сразу все заиграют спустя неделю после перехода.. такое себе.
Очень понравилось, что Мотта не побовлся выпустить всех новичков и их желание себя проявить...
При Аллегри все дебютировали бы в туре 15-м
А по-вашему когда в команду пришло 8 игроков с претензией на основу, 3 из которых неделю назад. Они должны уже были с Ромой зарешать?
И перед выходом на замену подбодрить:"мы за тебя ввалили 50 мультов, давай хет-трик делай!!!"
Работа на рынке проделана огромная! Для меня главное откровение - это не приход Копмейнерса, а скорее продажа Кина. Это как продать машину без руля и колёс или компьютер без материнской платы. Как Джунтоли это сделал?..
Ключевая задача на новые трансферные окна - поиск нового нападающего (в пару Влаховичу или на вырост с прицелом на пару лет вперёд), что сделать весьма непросто - позиция дефицитная и требует больших денег. Впрочем, Джунтоли с его знанием рынка может найти выход из разных ситуаций!
Да, сегодня нынче спокойнее смотреть матчи - давления нет, все понимают, что тренер новый и команда обновилась, так что ошибки наверняка будут, зато есть надежда, что все это перерастет в нечто шикарное и визуально приятное)
А по статье - отличный анализ, грамотная статья.
Джунтоли создает современный клуб с финансовой устойчивостью (вообще, насколько великолепно проявил он себя как переговорщик, скаут, финансист - это блестяще). Ювентус не просто обновляется, Ювентус перерождается.
P.s. Считаю, что главный шаг Джунтоли - увольнение Аллегри.
У парня набралось едва ли 4 игры за первую команду. Пусть развивается в комфортных условиях, а не губит карьеру в резерве. Тем паче в игре против Юве я в очередной раз не увидел, чем его котируют так высоко - довольно стандартный дриблер с высокой скоростью и низкой креативностью. Своих денег стоит ровно столько, сколько за него заплатили.
Амортизация Влахи и КПД его действий, это что то...
Потому и не указано.
Зарплаты сотрудников Континассы ведь мы не учитываем в разрезе подсчета оценки труда игроков, хотя траты те же - и там зарплата, и там зарплата.
Кьеллини руководит молодежным сектором, не скаутским подразделением, а всем сектором - я бы в первую очередь похвалил все же Тоньоцци, который большую часть сливок НГ привел, и Стефанелли, который нынче заведует скаутами и отвечает за кадровое привлечение молодых и дерзких.
Мотте грамотно воспользоваться благоприятными обстоятельствами и реализовать весь потенциал, заложенный в этом обновляемом Юве.)
А с точки зрения Вилланов хочется добавить, что как бы не хотелось, чтобы мы наступали на горло собственной песне, а " ридемпшан" в угоду рынка и собственной трансферной безопасности в современных условиях скорее неизбежен, когда молодые игроки становятся разменной монетой )
Да, у Мотты все карты в руках - есть кадры, есть вложения, твори не хочу))
Да, Влахович стал невольным заложником своего контракта... Играет весьма годно для своих лет и качеств, но неизбежно его равняют с уникумами и форвардами мирового класса, потому что за парня заплатили столько же, сколько платят как раз за гениев... И это теперь боьлшая проблема...