«Манчестер Сити» vs АПЛ: почему Роберто Манчини, Браим Диас и Яя Туре могут похоронить «горожан»
Какой странный состав у этого похоронного бюро, скажете Вы? Присаживайтесь поудобнее, спонсор заголовка не генератор случайных имён.
В первой части — ссылку на неё обязательно приложу — я рассказывал о том, как «Сити» (предположительно) нарушали FFP(UEFA Edition) и PSR(EPL Edition) путём передачи собственного капитала владельца(шейха Мансура и компании-владельца Manchester City & City Group — Abu Dhabi United Group) под видом спонсорских соглашений. Речь идёт о сотнях миллионов фунтов.
Здесь речь пойдёт о (предположительных) нарушениях Сити на «всего лишь» десятки миллионов фунтов, которые могут стать эдаким возвращением Кевина де Брюйне после травмы в последнем сезоне АПЛ — Х-фактором — в деле «115».
Для начала, небольшая преамбула. Исходной точкой битвы являются статьи журнала Der Spiegel, которые получили доступ к электронной переписке исполнительных лиц Манчестер Сити, в которых они обсуждают то, как собираются (это важно, намерение нарушить, не сам факт) механизмы регулировок финансовых операций футбольных клубов. Естественным образом, это обязало регулирующие органы (в данном случае, УЕФА и затем АПЛ) провести расследование на тему того, было ли в действительности совершено то, что упоминается в электронных письмах.
Контекст
Речь пойдёт о статьях Der Spiegel, в которых идёт рассказ о письмах, касающихся «левых» платежей, то есть тех, которые не были отмечены в отчётности «Манчестер Сити» о расходах, бывшему главному тренеру, одному из игроков молодёжного состава и агентам-представителям. Речь пойдёт о десятках миллионов фунтов, скрытых от надзора FFP и PSR. Иначе говоря, Ман Сити могли сказать, что Роберто Манчини получал за свою работу 100 рублей, когда на деле ему из другого источника прилетало ещё 900, которые при этом не отображались в отчётной ведомости и статье расходов. Выглядит как финансовая махинация.
Прочитав мой прошлый пост, и зная о (предполагаемых) нарушениях на сотни и сотни миллионов, у читателя может возникнуть вопрос — а зачем мы тут тогда собрались? Капля в море, какая разница. Я отвечу, и отвечу витиевато, так что запасайтесь терпением.
Юридические тонкости доказательства вины
Как отметил и я в предыдущей статье, так и в комментариях к ней, и на чём основывалась при принятии решения комиссия CAS в деле Manchester City vs UEFA, которое касалось выданного УЕФА двухлетнего бана Манчестер Сити на участие в турнирах под эгидой УЕФА, письма являются показателем намерением проступка, но юридически не подтверждают сам проступок. Юридическим подтверждением были бы чеки транзакций, проведенными Ман Сити или ADUG, и единственный способ заполучить которые — попросить Ман Сити их предоставить. Событие крайне маловероятное, думаю, здесь мы все с Вами согласимся. Аргумент, который здесь можно сделать в пользу стороны АПЛ — если всё чисто, предоставьте доступ к этим транзакциями и закончим с этой канителью.
Небольшой экскурс в судопроизводство. Когда дело только приходит на рассмотрение, до демонстрации улик, доказательств, показаний свидетелей и так далее, по умолчанию, позиция суда такова, что преступление скорее всего не совершено. Иными словами, в глазах суда, обвиняемый скорее всего невиновен, пока не доказано обратное, та самая презумпция невиновности. Это важно, чуть дальше увидите почему.
Есть такой термин — reasonable doubt, если дословно переводить, справедливое сомнение. Так вот, чаще всего, если не вдаваться в специфику, стороне обвинения важно предоставить все возможные вещественные, прямые доказательства того, что злодеяние имело место быть, что оно совершено именно обвиняемым, а не кем-то ещё и так далее. Проще говоря, сторона обвинения должна сделать так, чтобы судья/присяжные/комиссия, то есть те, кто принимают решение, не могли справедливо, непредвзято, сомневаться в факте совершения обвиняемой стороной преступления. И вот здесь у АПЛ появляется пространство для манёвра — некоторые вещественные доказательства «левых» платежей имеются. Это во-первых.
Эффект «домино»

Что это за импозантный джентельмен, спросите Вы? Это Виталий Архангельский, фигурант разбирательств Bank St Petersburg PJSC v Vitaly Arkhangelsky & Ors [2020] EWCA Civ 408, судопроизводство Великобритании, дело о мошенничестве Архангельского. Он это дело проиграл, и, естественно, подал апелляцию. Апелляционный суд, в свою очередь, постановил, что, как минимум в делах о мошенничестве, решение должно приниматься исходя из того, насколько вероятно, что преступление было совершено. Это понятие называется «баланс вероятностей». То есть, как минимум в делах о финансовых махинациях, обвинению необходимо показать, что вероятность того, что преступление было и совершено, выше, чем невиновность обвиняемого. Если объяснять словами попроще, как и было заявлено, представьте себе шкалу от 0 до 100%, где 0 - точно невиновен, а 100 - точно виновен. Обвинению достаточно показать, что вероятность вины обвиняемого - 51% и выше.
Более того, дело Архангельского задало крайне важный прецедент. Помните, я описывал концепцию презумпции невиновности? Так вот, согласно результатам дела, а затем и решению апелляционного суда, если показана вина обвиняемого в других, схожих, правонарушениях, с доказательной базой, картишками и дамами, то изначальная вероятность вины обвиняемого становится значительно выше. Это даёт возможность суду, и в частности Независимой Комиссии, которая в ноябре будет рассматривать дело «115», делать допущение, что если Ман Сити виновны в «левых» платежах, то есть показана вина в этих махинациях, есть немалая вероятность, что они виновны и в остальных проступках, пусть даже у этого нет предметной доказательной базы. Тот самый эффект «домино». Помните про витиеватость? Если кто из Ваших друзей не знает определения, просто покажите им этот кусок статьи.
Ну что, теперь и к письмам можно перейти. Работаем в привычном формате — я прикладываю письма, комментирую и поясняю ключевые моменты, Вы мотаете на ус и, по желанию, изучаете самостоятельно.
Часть первая. Роберто Манчини

Такс-такс, что у нас тут? Здесь мы видим два подписанных контракта между Роберто Манчини и двумя разными сторонами. Первый — вступление Манчини в должность менеджера Ман Сити. Второе — вступление в должность консультанта в Al Jazira Sports and Cultural Club — футбольный клуб из Абу Даби. С одной ноты угадаете кто является владельцем этого клуба? Я подскажу, начинается на «шейх», заканчивается на «Мансур».
Деталей тут немного, но это самое вещественное доказательство, которое напрямую доказывает связь между Манчини и Al Jazira Club. При этом, обратите внимание, у обоих контрактов дата подписания одна и та же — 19 декабря 2009 года. Ну и вишенка на торте — подписано одним и тем же человеком (обратите внимание на подписи).
Едем дальше.

В главных ролях уже известные Вам:
Эндрю Уидоусон — Head of Finance, глава финансового отдела Манчестер Сити,
Грэм Уоллес — COO или Chief Operations Officer, операционный директор Манчестер Сити,
Ферран Сориано — CEO или Chief Executive Officer, исполнительный директор Манчестер Сити,
Саймон Пирс — участник совета директоров Манчестер Сити, советник шейха Мансура, а также президента ОАЭ.
В этом сезоне добавляется новый персонаж — Саймон Клифф, General Counsel, или глава юридического отдела Манчестер Сити
Письмо №2, 18 марта 2014 года
«...consultancy agreement originally ran until July 2013, but we renegotiated his MCFC salary arrangement in July 2012 and as part of that overall deal, the AJC(Al Jazira Club) arrangement was ended. So he stopped being paid by AJC from July 2012...»
Здесь Саймон Клифф пишет Саймону Пирсу и Феррану Сориано о том, что в июле 2012 года структура компенсации Манчини была пересмотрена, и договор с Al Jazira Club закончился, и уточняет, что, начиная с июля 2012 года, она ему больше не платит. То есть как минимум до этого времени, компенсация Манчини за работу выплачивалась частично напрямую от Манчестер Сити, а частично от AJC.
Письмо №3, 24 октября 2013 года
Тот же Саймон Клифф пишет, что ему нужно чтобы AJC подписала документ, подтверждающий окончательное и официальное завершение сотрудничества между ними и Роберто Манчини. При этом, Саймон говорит одну занимательную вещь:
«...is it realistic that Al Jazira will sign this (i.e. I'm not sure what leverage we have with them these days)»
Клифф уточняет, насколько реалистично то, что Al Jazira Club этот документ подпишет, и дальше добавляет про «leverage», или рычаг давления, на AJC, чтобы те подписали угодный Ман Сити документ. Из этого следует, как минимум, вывод о том, что такой рычаг как минимум существовал когда-то.
Письмо №4, 11 июля 2012 года, за день до окончания договорённости между Манчини и AJC
«...latest instalment of the manager's consultancy arrangement with Al Jazira Sports and Cultural Club Ltd. We have sent the funds to ADUG (Abu Dhabi United Group) bank account...»
Эндрю пишет Грэму и Саймону Пирсу о том, что деньги по договору Манчини о консалтинговых услугах в AJC были отправлены на счета компании-владельца Манчестер Сити, откуда они уже пойдут на счёт Манчини в банк Italy International Service. Опять же, словесное подтверждение от главы финансового отдела о том, что зарплата дона Роберто как минимум выплачивается не напрямую со счетов Ман Сити.
И заканчиваем с этой частью.

Здесь у нас появилось новое лицо, Сильвия - агент Роберто Манчини, по совместительству, такой себе печатальщик на английском.
Письмо №5, 21 июня 2012 года, Манчини всё ещё в должности консультанта в AJC
Здесь всё просто, Сильвия присылает Грэму квитанцию об оплате услуг её клиента за услуги консультанта в Al Jazira Club.
Письмо №6, 8 июля 2012 года, за 4 дня до окончания договора Манчини и AJC
Грэм — операционный директор — просит, чтобы Эндрю сделал «как обычно»: отправил деньги на счета ADUG (компания-владелец Ман Сити), а затем попросил Саймона Пирса, чтобы он организовал перевод этих средств на счета Al Jazira, чтобы те уже, в свою очередь, сделали прямой перевод на счёт компании Манчини - IIS. Всё ровно так же, как они делали в прошлых финансовых кварталах.
Письмо №7, 13 января 2012 года
«Can you also do me a favour and check with Al Jazira the status on payment of Roberto's January consulting fee (payment to his company — IIS). The amount is £796,903 and monies were sent from MCFC to ADUG on December 19th for onward passing to Al Jazira...»
Грэм просит Эндрю, чтобы тут проверил статус перевода денег Роберто Манчини за его консалтинг, вернее, платёж его компании — IIS. Указывает размер суммы, и уточняет маршрут перевода: со счетов Ман Сити в Abu Dhabi United Group, откуда те пойдут на счета Al Jazira. Всё разложил по полочкам, какой молодец. Схема стандартная, да вот только тут что-то у них задержка была с переводом, видать, Рождество и Новый год, вот и задержался перевод.
Ликбез
Есть главный тренер Сити, который параллельно подписал контракт с ещё одним клубом — Al Jazira Sports and Cultural Club — шейха Мансура на должность консультанта - задокументированный факт. И есть обсуждения верхушки Сити о том, как, когда и сколько денег ему нужно переводить через этот клуб. Финансовая махинация, поскольку эти переводы через третьи компании не будут отражены в отчётность как расходы на зарплату Манчини.
Часть вторая. Браим Абделькадер (кто-кто?)

Участники переписки — Анхель Суарес, партнёр (высший ранг внутренней иерархии) юридической фирмы из Барселоны, и Чики Бегиристайн, директор футбольных операций Манчестер Сити.
Какой-какой Браим, простите? Да, друзья, именно такая фамилия у Браима Диаса.
Разбираем.
Письмо №1, 2 октября 2015 года
Анхель пишет Чики о том, как можно совершить подписание Диаса, несмотря на правила, запрещающие это сделать (в силу возраста Браима - есть определённые особенности регистрации футболистов вне трансферного окна, в зависимости от того, получил ли игрок уже статус профессионального или всё ещё является аматором).
Здесь сильно задерживаться не буду, всё, что нас тут интересует — четвёртый пункт в письме. В нём Анхель говорит о том, что ADUG (компания-владелец Манчестер Сити) заключила партнёрское соглашение с агентством-представителем игрока. Также уточняет, что ADUG, это важно, будет выплачивать агентству-представителю суммы при определённых условиях (спортивные достижения Диаса, например). Анхель прямыми словами говорит, чтобы Чики напомнил об этом условии ADUG.
Письмо №2, 28 ноября 2013 года
Здесь всё ещё проще, перед нами - заключенный контракт между Abu Dhabi United Group (что, опять же, важно, это не Манчестер Сити) и испанским медиа-агентством Mediaproduccion, S.L.U., на тему выплаты Браиму Абделькадеру (Диасу) оговорённых ими ранее сумм. Вещественное доказательство номер два.
Ликбез
Не так много в этой части. Имеем молодого футболиста, которого отчаянно пытается зарегистрировать Манчестер Сити, пытается при этом в обход правил, и в процессе часть выплат футболисту, которые, опять же, должны исходить из счетов Ман Сити для корректной отчётности, по итогу идут из кармана компании-владельца. И в качестве маршмэллоу поверх какао, имеется заключённый контракт между компанией-владельцем Сити и компанией-представителем интересов Браима Диаса на тот момент, подтверждающий договорённость выплат.
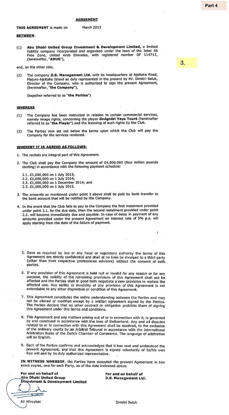
Часть третья. Яя Туре и Дмитрий Селюк

Перед Вашими глазами — договорённость, фиксирующая сотрудничество между Abu Dhabi United Group и D. S. Management Ltd. Кем будут, спросите? Это компания, представляющая интересы Яя Туре. Вспомнили, прослезились? Едем дальше.
Само письмо обсуждать нечего, нас интересует то, между кем заключается соглашение. Обратили внимание, что это, опять же, не Манчестер Сити?
Теперь, самые зоркие из Вас мне возразят: «Но Илья, письмо датируется 28 июня 2010 года, ведь до вступления FFP от УЕФА ещё год, то вступления PSR от АПЛ - два.» И формально, будете правы. Почему тогда я об этом договоре рассказываю? Каждый клуб был уведомлен о принятии ФФП за два года до его вступления в силу, то есть в 2009 году. Это было сделано для того, чтобы те команды, которые не соответствуют предписанным в них статьях и правилах, могли «подогнать» свои операции под них, чтобы впредь не нарушать — оптимизировать/сократить расходы, заняться увеличением доходов, выбирайте что по вкусу, как говорится. Как Вы понимаете из факта наличия этого договора, Ман Сити не очень сильно старались соответствовать будущим правилам.
Едем дальше.

Здесь нас, опять же, не так интересует контент, сколько само наличие документа. Перед нами - контракт, подписанный с одной стороны Abu Dhabi United Group (напоминаю, компания-владелец Ман Сити, не сама команда) в лице Гарри Кука - тогдашнего CEO (исполнительного директора) Манчестер Сити, и Дмитрием Селюком — директором того самого агентства D.S. Management Ltd., представителя Яя Туре.
Из деталей, разве что, отмечу, что предписанный срок действия этого документа — 2 года. Подписан он 28 июня 2010 года. Добавляем те самые 2 года, и выходит 28 июня 2012, а когда вступил в силу европейский ФФП помните? Правильно, в начале сезона 2011/12.
Темп не сбавляем.

На Ваших экранах — новое соглашение между Abu Dhabi United Group и D.S. Management.
Во-первых, дата подписания — март 2013. И FFP, и PSR уже в деле.
Во-вторых, что за чёрт такой подписал со стороны Abu Dhabi United Group? Объясняю, этот Али Альфрайхат - член EAA. Что за EAA? Тоже объясню. Executive Affairs Authority - государственный орган-стратегический советник Его Величества Шейха Мохаммеда Бин Сайет Аль Нахьяна, президента Объединённых Арабских Эмиратов. Связь между ОАЭ-государством и Ман Сити становится всё менее и менее прозрачной.
Заметили, кстати, что я уже не говорю о том, что все эти соглашения должны заключаться между Манчестер Сити и DSM? Я вот тоже заметил.
И последнее. В чём сила?

Здесь всё, в общем-то, легче лёгкого. Видим перед глазами обычную квитанцию, которую Селюк выслал в ADUG для выплаты третьей указанной суммы в контракте из Документа №3. Очень хорошая квитанция, на самом деле. Своим существованием, она подтверждает подлинность Документа №3, как и факт того, что его выполнение между двумя сторонами осуществлялось.
Плюсом, как указывает Дмитрий в документе, это третий транш. Соответственно, два предыдущих уже были выплачены. Год на дворе 2014, наш мальчик ФФП уже ходит смело и уверенно на горшок. Выплаты в обход финансовой отчётности, незадекларированные расходы, ну Вы поняли.
Ликбез
На самом деле, третья часть — одна из самых неприятных для стороны Ман Сити. Если подавляющее большинство предыдущих доказательств — в основном письма, лишь косвенно подтверждающие вину, то здесь - сплошные документы. По моей оценке, сторона АПЛ начнёт свой юридический танец скорее всего отсюда, поскольку юридическая доказательная база сильнее всего именно здесь.
Итоги
Нормально добрались, живы-здоровы?
Возможно, после прочтения этих трёх частей, у некоторых из Вас сложится впечатление, что как-то это невзрачно, что ли? Ну нарушили на пару десятков миллионов, не так важно, как другие (предположительные) махинации. На что я напомню Вам, с чего начинался пост.
Помните часть про Архангельского, про эффект «домино» и про вероятность вины? Так вот, если у стороны АПЛ во время ноябрьских выступлений перед Независимой Комиссией получится доказать вину Ман Сити хотя бы по одному из этих трёх пунктов (Манчини, Браим Диас и Яя Туре/Дмитрий Селюк), а вероятность этого есть, вещественные доказательства, пускай и не самые прямые, есть.
Ещё напомню про «баланс вероятностей» и экстраполирую на наш случай. Стороне АПЛ не нужно доказывать, что вероятность вины Манчестер Сити 100%. Достаточно показать, что эта самая вероятность — выше 50%. Разумеется, прям такой точной шкалы нет, это всё образно. Формально, если Независимая Комиссия склоняется к тому, что нарушение скорее было, чем нет, то этого уже достаточно для признания обвинений правдивыми.
А дальше в дело вступает эффект «домино». Если юристам АПЛ удастся убедить Независимую Комиссию в одном нарушении правил PSR или APT, в глазах комиссии, вероятность того, что Сити нарушили и в остальных местах становится выше.
Более того, эта комиссия будет обладать важной возможностью — они могут задавать вопросы каждой из сторон. В качестве примера, возьмём любое из писем, которые обсуждались в предыдущем посте, о передаче собственного капитала владельца под видом спонсорских соглашений. Напомню, подлинность этих писем под вопросом не стоит. Комиссия может задать вопрос стороне Сити: «А почему Вы, товарищи, эти вещи между собой обсуждали? Да, факт свершения того, что обсуждалось, не подтверждён, но какова была нужда говорить об этих вещах?» Или что-то в таком роде.
Это очень важно, и эта одна из основных задач команды представителей АПЛ — убедить комиссию в необходимости подобного рода уточнений. Разумеется, у стороны Сити будет готов ответ, а то и не один, на любые подобные вопросы, тут важен факт интереса комиссии к мотивации. Это далеко не решающий фактор, но из него может много чего вытечь.
Послесловие
Как и в прошлый раз, я старался подавать информацию, и делать это непредвзято. Выводы читатель всегда сможет сделать сам, я в Вас уверен, дамы и господа :)
P.S.
Знали бы Вы, как у автора сгорел седалищный нерв, когда на подведении итогов крашнулась страница, и пришлось всё с нуля переписывать.
Ссылки:
Полный набор слитых писем и документов о Манчини: https://cdn.prod.www.spiegel.de/media/592f2b46-96b2-4e64-9217-9a17ae26f38b/RM.pdf
Полный набор слитых писем и документов о Браиме Диасе: https://cdn.prod.www.spiegel.de/media/f06f5e7c-d45b-44bd-a021-1bb131fb5284/Youth2.pdf
Полный набор слитых писем и документов о Яя Туре и D.S.Management: https://cdn.prod.www.spiegel.de/media/806d31ff-4c4d-431a-889c-190e293c07bb/ADUG.pdf
Автор-вдохновитель: https://x.com/themagic_tophat (X* признана экстремисткой и запрещена на территории РФ)
Первая часть: https://sports.ru/tribuna/blogs/nottoohard/3246215.html












Пиши, может, в ворде изначально, а потом уже вставляй во внутренний редактор и тут уже корректируй) седалищный нерв это важно
Вероятно, неправильно выразился, имел ввиду, что Ман Сити признают виновными в этих делах. А одно из возможных наказаний - вылет команды. Если ввёл в заблуждение - извиняюсь.
Как бы там ни было, презумпция невинности, я уважаю это понятие, и не даю себе, чаще всего, пусть и болельщик другой команды, забывать об этом. Поэтому Сити, как компания, как раз должна продолжать вести деятельность, как делал бы любой невиновный на их месте. Всеми этими делами ведь можно параллельно заниматься.
А приведённое, честно сказать - ни о чём не говорит
Та вот шишка набита, да, впредь будем осторожны :)
Такие скандалы - штука в целом не самая приятная. Да, есть закон PR 101: любая огласка - хорошая огласка.
Другое дело, что это наносит брэндовый ущерб АПЛ. С Челси так вышло, потому что они пошли на признание вины, вот и всё. Теоретически, ровно тоже самое могло быть и в кейсе Сити.
Это основная тактика взаимодействия живых организмов друг с другом, есть и в животном мире, и в растительном, и в человеческом, называется tit-for-tat (как ты мне, так и я тебе). Челси пошли навстречу следствию и АПЛ - им ответили тем же. Сити начинают войну - никто не будет подставлять щёку под удар.
И вот просто вопрос, если Сити продолжает трансферную кампанию, то какого вероятность теперь вылета Сити из лиги?
А так статья интересная, проделана отличная работа.