Статистика регулярки: разные половины сезона, лидеры по очкам в играх и обновление приложения по энтропии
От редакции: вы читаете пользовательский блог, в котором обсчитывают вообще все. Если вы любите цифры больше букв, то непременно подписывайтесь.
В воскресенье закончился регулярный чемпионат НБА. «Финикс» и «Майами» выиграли конференции, кто-то попал в ПО, кто-то в плей-ин, кто-то «лучшая команда в мире, если бы не травмы и Расселл». Данный пост имеет три раздела:
Сравнения частей сезона для команд в плане побед и для игроков по основным показателям.
Кто чаще всего был лидером по очкам в играх своей команды?
Информация об обновлении приложения о стабильности результатов команд.
Меньше букв, больше дела. Поехали.
Сравнение частей сезона
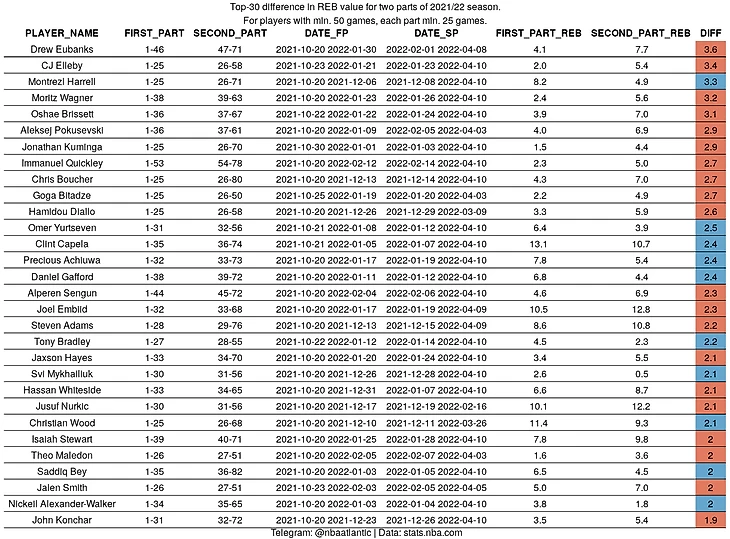
Здесь будут сравнения частей сезона для команд и игроков. В каждой из частей должно быть не менее 25 матчей. И еще важное уточнение: в таблице представлено разбиение на части с максимальной разницей между ними.

На картинке выше команды отсортированы в порядке убывания разницы между процентом побед в первой части сезона и второй. Синий цвет – это падение результатов во второй части, красный – рост.
На верхней строчке «Голден Стэйт», который прошел первые 54 матча с 13 поражениями, а следующие 28 с 16. Также вторую часть сезона заметно хуже прошли «Бруклин», «Чикаго», «Кливленд», «Юта». С другой стороны, «Бостон», «Даллас» и «Новый Орлеан» сильно прибавили. «Милуоки» и «Шарлотт» прошли дистанцию ровнее остальных, хотя ещё за несколько игр до конца наименьшая разница между частями сезона была у «Финикса», но «Санс» заметно сбавили на финише, что и подбросило их вверх.
От команд перейдем к игрокам.

Этот топ-30 можно озаглавить «Кто все эти люди?». Здесь в основном люди с положительной динамикой (во второй половине стали играть больше). Кто-то новичок, у кого-то команда перешла в режим «А почему бы не дать поиграть вон тому парню». В первой десятке только одно падение, и это, к сожалению, Святослав Михайлюк, который просто перестал выходить на площадку.

Здесь уже есть и такие серьезные ребята, как Морэнт, Дончич, Д’Аарон Фокс, шутка, Девин Букер, но на вершине Анферни Саймонс, который вышел на первые роли в «Портленде», когда орегонцы, как в том анекдоте, один свой титановый шар сломали, а второй прое обменяли в Новый Орлеан.

Количество бросков неплохо коррелируют с количеством очков, что и неудивительно. Лидер тот же, также видно, как «на пользу» в плане личной статистики пошел переезд в «Юту» Александр-Уолкеру.

Вопрос знатокам: кто может назвать команды, в которых играют два человека с вершины, без регистрации и basketball-reference?

Здесь стоит обратить внимание разве что на Халибертона с его +4 и показателем 9,5 передач на протяжении 50 игр.
Кто чаще всего набирал больше всех очков

Особо сюрприза в балканской тусовке на вершине нет. Пары из «Бостона» и «Чикаго» имеют в активе 77 и 75 игр своих команд.
Обновление приложения о равномерности результатов команд по сезону.
В прошлом году я сделал метрику и приложение по которым можно посмотреть равномерность результатов команды в течении сезона. Вся необходимая сопроводительная информация находится в посту Какая команда НБА ровнее других прошла сезон, а кого колошматило сильнее, чем «Лейкерс»? Узнать это поможет статистический анализ
Я обновил это приложение, заменив прошлый сезон на только что закончившийся.
Ссылка на приложении:
https://vladislavshufinskiy.shinyapps.io/nba_entropy/
А вот таблица с энтропией:

«Финикс», конечно, в плане стабильности результатов совершенно в другой Лиге. Из забавного: прошлогодний лидер стабильности «Бруклин» в этом сезоне на последнем месте. Ковидные правила и Джеймсы Хардены они такие.
Репозиторий на github с кодом проекта: https://github.com/shufinskiy/nba_various/tree/main/two_different_segments_season
Телеграм-канал о мире цифр НБА:
Надеюсь, данный анализ был вам интересен. Спасибо за внимание и feedback в виде комментариев и оценок.














