5 дублёров и Воробьёв
21 ноября – Михайлов день. Забегая вперёд, отмечу, что поздравить Михаилов с именинами парни решили достаточно неоднозначно….
Вообще не самая убедительная победа отошла на второй план уже глубокой ночью, когда пришли великолепные новости из-за океана. Насмотревшись на сухари наших парней, Саша Георгиев оформил свой первый в карьере ноль в НХЛ! И в каком матче! В дерби, встрече вечных, принципиальных и непримиримых соперников. «Островитяне», которых Сашины «Рейнджерсы» не обыгрывали долгих 3 сезона, потерпев в противостоянии 8 поражений подряд, нанесли по воротам Георгиева 28 бросков. И ни разу не смогли его пробить.
Я неоднократно приводил в пример историю Александра, как одну из самых показательных для юных и молодых хоккеистов (и не только хоккеистов). Пересказывать её в очередной раз не хочется, кто не помнит, тот может прочитать эти два текста, которые мы готовили вместе с ним. В ближайшее время, надеюсь, выпустим третий – уже нхловский. Просто очень рад, что пока (тьфу-тьфу) у этого трудолюбивого и неуступчивого парня всё складывается. А самое главное, что он тоже в синей команде…

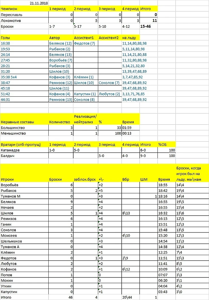
У наших ребят, если смотреть на таблицу и на счёт последнего матча, тоже вроде всё складывается. Второй подряд матч без пропущенных шайб, выход на третье место в табеле. Но вот сама игра… Ни для кого не секрет, что «Локомотив» играет в долгую. Что текущие результаты никого не интересуют, что голы не важны и прочее бла бла бла. Однако нам в блоге абсолютно наплевать на это, мы обсуждаем конкретные игры конкретных парней, поэтому выскажу своё мнение, разнящееся наверняка с мнением большинства.
Это был один из самых худших матчей в сезоне. Откровенно. Каждый сам за себя, 5 нападающих на льду, полное отсутствие связных командных действий. Конечно, большая часть этого относится к первым, но и у вторых хороших атак было – не разбежишься.
Началось всё ещё с субботнего спарринга с 2009 годом, где нашим горе-защитникам первого состава отгрузили 5 штук. Однако тактика того поединка понравилась парням (и тренеру), и несколько раз за 30 стартовых минут оборонцы, которые едва передвигали ноги у себя в зоне, при первой возможности и без неё неслись вперёд так, как бегут фанатки за автографом Овечкина, когда тот появляется в зоне видимости. Чуть позже мы узнали, что причина в стартовом напутствии тренера – кто забьёт пять – поедет в Москву…
Как итог – едва ноги унесли от позора. 0:0 после первого периода, и лишь во втором, благодаря всегда одинаковому Кириллу Белякову, нам удалось проснуться и раздобыть более-менее приемлемый результат. Нам, любителям, тяжело такое смотреть. Тяжело понимать, что в детском сознании подогреваемые из вне настройки на личные достижения гораздо важнее командных. Да вообще на такую «игру» смотреть без слёз непросто. Причем речь обо всех наших «Локомотивах».
Ладно, просто нужно набраться терпения и ждать прорыва, который обязательно случится. И так, на всякий случай, когда ты, защитник, из 12 побегов в атаку забиваешь всего один раз, ты: 1. Лишаешь свою команду возможности забросить 11 раз, берешь на себя ответственность за эти не состоявшиеся 11 голов. 2. Потенциально ты обрезаешься 11 раз, то есть вместо 12 голов в чужие, ты можешь привезти 12 в свои.

Я не против побегов вперёд. Защитник обязан уметь атаковать. Но делать это каждый раз, как хоккейный бог дарит тебе шайбу на крюк…
И ведь почти напожарили на гол в наши ворота. Думаю, Даня был бы вам сильно благодарен за испорченный сухарь. Но оба опасных раза он сделал, что должен – вытащил и при обрезе Рыбакова, и при панике пары Нечаев\Туманов. В итоге дубль Белякова, дубль Рыбакова и шайба Воробьёва сделали счёт 5:0. И лишь один гол с передачи, и то – случайной.
Вторые, вероятно, не слышали слов тренера, старались играть более агрессивно, защитники почти не лезли вперёд. Кроме Клёмина, но тут не совсем понятно, какую роль ему отводит тренер. Лишь в четвёртом периоде трижды попытался Любутов, но все три попытки оказались неудачными. Зато именно он организовал самую красивую шайбу матча, отрезав четверых соперников передачей на Капустина из своей зоны. В итоге Алексей оформил свой первый балл за передачу, а замкнул атаку Кофанов.
Звено Шилова играло уверенно, но много моментов было загублено. Один только Ремизов должен был минимум ещё трижды забивать, но в последний момент ему отчаянно не везло, либо Ярослав принимал не те решения, как в эпизоде с выходом один в ноль. Хорошо ассистировал Соколов, создавая раз за разом моменты для партнёров. Ничего удивительного. Много жадничал Шилов. Но в целом, это было более смотрибельно, чем первые 30 минут.
Итог – 11-0, наши вратари не пропускают второй матч подряд, ребята цепляются за тройку. Но в сравнении с первым этапом результативность падает. Повод задуматься?

Перейдём к оценкам.
Вратари:
Катамадзе 5.5. Даня выручил в нужный момент, хотя работы у него было не так много. Поменьше суеты в простых шайбах, и будет совсем хорошо.
Балдыч 5.5. Миша с учётом игры с 9 годом не пропускает три матча подряд. В этот раз мы наконец-то дождались настоящих спасений (момент с двойным рикошетом и мгновенной реакцией щитком в середине заключительного отрезка был действительно огненным). Ждём ещё более эффектной и эффективной игры в следующую среду.
Защитники
Рыбаков 4.5. Да, дубль. Но выше всё написано, считаю, что Ване только за сумасшедший обрез во второй пятнадцатиминутке можно смело поставить двойку. Удивительные метаморфозы Ивана приводят к тому, что по ходу одной смены он просит партнёров не отдавать ему шайбу, и сам же мчится на пятак. Батя…
Туманов М 4.0. Миша включается только при громком крике тренера. Удаление, когда мы только получили большинство – отдельная история. А так, клюшка всегда в одной руке, вечно прямые ноги. Созерцание мироздания, если шайба не у него.
Нечаев 4.0. Второй матч подряд Аркаша заваливает какими-то откровенно непонятными действиями. Отдаёт шайбу «врагу», несётся вперёд, теряет своего игрока на пятаке. С последним, к слову, беда у всех. Столько раз переславцы дежурили в одиночестве перед нашим вратарём, что страшно становится.
Шельмаков 5.0. А вот Захар сыграл чистенько. Недаром именно при его присутствии на льду по нашим воротам бросили меньше всего. Ключевой параметр в таких матчах.
Туманов А 5.0. Саша немного терялся позиционно, но зато компенсировал эти ошибки уверенной игрой в отборе и подстраховкой. Разница между братьями всё разительней, и Александр явно не теряется на фоне Миши.
Клёмин 4.5. Вова играл откровенного полузащитника, и на удивление, делал это неплохо. Реализация большинства – его заслуга. В защите же чаще отдувался партнёр, но в этот раз №3 не забывал заменять его при походах Кирилла в атаку. Серьёзный прогресс по сравнению с первыми матчами.
Любутов 4.0. Кирилл пожарил чаще всех, слабовато играл в своей зоне. Один раз обыграл всех соперников в крестовом походе, но бросил во вратаря. Здорово, что сам признал все свои ошибки, и поблагодарил партнёров за их исправление после игры. Ждём более уверенных действий.

Нападающие
Воробьёв 4.5. Показалось, что чуть лучше дела с контролем и приёмом шайбы, но в командных действиях по-прежнему всё грустно. Это не мешает Акиму, зато мешает нам. Задачу попадания в Москву он выполнил по какому-то своему нормативу, но мы будем только рады за №32, если ему удастся закрепиться в московской основе.
Моисеев 4.5. Архип смотрелся, наверное, одним из лучших у первых. Жаль только, что сама планка была очень низкой. Хорошо страховал, хорошо катался, пытался позиционно грамотно действовать. Не хватило активности впереди.
Беляков 5.5. На фоне напарников прямолинейная игра Кирилла была отдушиной. Что было бы, не забей он свои голы – страшно представить. Только он не потерялся в этой вакханалии.
Ганин 4.0. А был ли мальчик? Что тут ещё сказать? Не видел я огромного форварда в матче совсем, ни спереди, ни сзади. Может, пора поменяться с Иваном амплуа?
Федотов 4.0. Какие-то сплошные потери, ужасная игра на вбрасываних, зачем-то всё время приезжал вплотную к своему партнёру, когда тот был с шайбой. Наверное, это последствия пропусков тренировок. Надеюсь на это. И да, твои передачи и голы постоянно записывают на других ребят потому, что судьи НЕ видят твой номер. Выправляй майку, если хочешь попадать в протокол.
Соколов 5.0. Ваня хорошо играл в пас, теперь до конца года он это делать будет вряд ли. Сильнее бы ещё делать пас, а не фирменными ковыряшками – не было б цены. Судя по астрологическому календарю Соколова, это был последний матч с передачами в этом году.
Шилов 5.0. Дубль, из которого одна шайба случайная, вторая – закономерная. Мне кажется, или Никита начинает пижонить? Очень бы не хотелось этого, ведь от сплоченной игры вашего звена зависит очень многое в матче с той школой. Подумай на досуге, что ты сделал не так.
Ремизов 4.5. Всему звену не очень высокие оценки, т.к. мы ждали большего от всех. Сами приучили. А вас несколько раз соперник наглухо запирал в зоне. Ярослав вновь не использовал несколько верных возможностей для взятия ворот, надо быть бережливее с моментами. Ну и в обороне совсем не помогал. Тоже есть время подумать до следующей среды.
Капустин 4.5. Когда звено делит игровое время на пятерых, трудно проявить себя. Лёша немного реабилитировался за предыдущие неудачи, став соавтором самого интересного гола в матче. Но по-прежнему активности не хватает.
Уткин 4.0. А вот Никита в таком режиме потерялся. Совсем не видели мы его с шайбой, хотя пару моментов для него партнёры создали – оба раза 76 промедлил с принятием решения.
Кофанов 5.0. Роман приятно удивил своей игрой, и дело не только в дубле. Оказывался в нужном месте в нужное время, немного надбавил за старание и контраст по игровому времени с партнёрами звеном выше. Два гола в падении – вполне неплохой результат.
Попов 4.5. Хорошее катание Артёма пока не компенсирует глупые ошибки в дриблинге. Сказал бы «детские», но ведь и парни у нас ещё не в пубертате. Хотелось бы побольше передач, побольше осмысленных действий в нападении. Но периодически только за счёт скорости был на голову сильнее соперников, чем мало кто пользовался в этой игре.
Мокин 3.5. сложно сказать, сколько раз Алексей коснулся шайбы. Может быть 3? Нельзя так рьяно закрываться и уповать на партнёров. Зачем тогда вообще выходить на лёд?
Ладно, что называется, проглотили и забыли эту игру. Надеюсь, что общее падение результата не скажется в самых ответственных играх, серия которых начинается совсем скоро.

Мельком глянем на общую статистику. Вновь идиллия у вратарей. Самое интересное, что даже их сухие серии длятся одинаковое количество времени, точнее, Миша «суше» Дани на… 1 секунду! 31 минута 6 секунд у Катамадзе против 31 минуты и 7 секунд у Балдыча. Поражает отрыв трио плеймейкеров – Шилова, Соколова и Федотова - от всех остальных. По сути, эти трое отдали практически половину результативных передач команды за весь турнир. Ужас!
В этот раз итоги матча мы подводили с самокритичным оборонцем. Вот, что из этого получилось:
- Кирилл, как оценишь сегодняшнюю игру?
- Командный? Как сказать… результат положительный. Но игра не очень. Главное, ведь, результат?
- Возможно. А что скажешь по своей игре?
- Сыграл плохо, много ошибался, обрезался. Хорошо, что партнёры помогали.
- У тебя был неплохой момент, но с броском что-то не то вышло…
- Руки не из того места растут просто.
- Что тренер говорил во время матча?
- Подсказывал, говорил, что в защите нужно играть проще, не обрезаться. Но у меня как раз всё наоборот вышло. После игры он всех просто поздравил с победой.
- А кого бы ты выделил сам сегодня из партнёров?
- Захар Шельмаков, очень хорошо сыграл, не ошибался. Шилов понравился. Да все молодцы, вся команда.
- Было пару моментов, когда вы заставили нас понервничать… Какой из них помнишь лучше?
- Нууу, когда я ошибся, и вырос выход два в один. У первого игрока я шайбу выбил, а потом был бросок и рикошет. Я уже ничего не мог сделать. Я уж думал, что сейчас будет гол, но всё обошлось.
- Что думаешь о следующей игре?
- Надо играть проще и меньше обрезаться. Мы должны выиграть!

Фото: Я.Федотова






