Как улучшить результаты Англии на ЧМ. Исследование Стивена Хокинга
Рано утром в своём доме в Кэмбридже на 77-м году жизни умер английский физик-теоретик Стивен Уильям Хокинг. Помимо изучения Вселенной, публикации научных статей и книг, Хокинг в 2014 году провёл исследование в области футбола. Блог "Спорт, Нева и Я" публикует перевод статьи The Telegraph об итогах этого исследования.
Кубок Мира 2014: Стивен Хокинг высчитывает шансы Англии на успех
Оригинал статьи: http://bit.ly/2FDipAj
Он разгадал величайшие тайны космоса, но сейчас профессор Стивен Хокинг обратил внимание на более сложную задачу - как увеличить шансы Англии на золотые медали Чемпионата мира?
Один из умнейших физиков планеты проанализировал ключевые моменты, которые влияли на выступления сборной Англии на Мундиалях, начиная с 1966 года, и составил формулу, основанную на оптимальных для команды условиях.
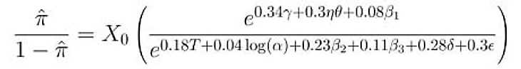
Профессор Хокинг утверждает, что английскому футболисту комфортнее выступать при умеренном климате. Повышение температуры всего на 5°C снизит шанс успешного результата на 59%. Важна и высота, на которой расположено поле. Когда она не превышает 500 метров, англичане побеждают в 2 раза чаще.
Шансы англичан на победу увеличиваются в 3 раза, если матч начинается в 15:00 по местному времени, и в 5 раз, если они играют в красной форме, которая, по мнению немецких психологов, помогает командам чувствовать себя увереннее и агрессивнее по отношению к сопернику, рассказывает кембриджский учёный.
Он также обнаружил, что результаты англичан со схемой 4-3-3 лучше, чем с 4-4-2.
Как выяснил профессор, длительный перелёт в Бразилию может уменьшить шансы сборной более чем на 22%.
При судействе европейских рефери Англия выиграла 63% матчей и только 38% при судействе рефери, родом из других частей света.
Формула успешного выступления сборной Англии на ЧМ:

"Европейские судьи больше симпатизируют английскому футболу, нежели игре таких балерин, как Суарес" - сказал профессор Хокинг во время обнародования итогов исследования, которое он провёл по заказу букмекерской компании Paddy Power.
"Вопреки мнению таблоидов, поддержка от жён и девушек не имеет значения"
"Наши шансы на победу можно исследовать тщательнее, проанализировав ряд экологических, физиологических, психологических, политических и тактических переменных"
Физик-теоретик вычислил, что наибольшие шансы на победу Англия будет иметь в игре с Коста-Рикой в Белу-Оризонти и встретится с сильнейшими трудностями в матче с итальянцами в Манаусе [с Коста-Рикой англичане сыграли 0:0, итальянцам и уругвайцам проиграли 1:2 - прим. переводчика].
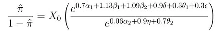
Также профессор Хокинг изучил пенальти, исполненные игроками сборной Англии. Он считает скорость важным аспектом при ударе с одиннадцатиметровой отметки, поэтому для успешной реализации стандарта футболисту требуется разбег, как минимум, в три шага.
"Скорость не важна, если неправильно выбрать расположение", - добавил Хокинг. - "Если бы я мог прошептать это на ухо Крису Уоддлу, прежде чем он отправил мяч куда-то на орбиту в 1990 году"
По словам профессора, удары в верхний правый или левый угол на 84% успешнее остальных.
Формула идеального пенальти:

Хокинг признался, что не будет делать ставки на Чемпионат мира, потому что привык тратить деньги на более серьёзные споры, связанные с изучением Вселенной.
"Мои ставки обычно связаны с теоретической физикой. Есть ли у Paddy Power какие-нибудь коэффициенты на чёрные дыры, окружённые файерволлами?" - шутил Стивен Хокинг.

"Вся математика и рациональное мышление тут не нужны - я англичанин и буду поддерживать наших парней вплоть до финала в Рио"
72-летний учёный отметил, что фаворитом турнира считает бразильцев: "Было бы глупо не замечать Бразилию. Их сборная выиграла более 30% Мундиалей, и, как стало известно из исследования, у хозяев есть значительные экологические и психологические выгоды от близости к дому".
Свой гонорар от сотрудничества с букмекерской компанией Стивен Хокинг отправил в Ассоциацию по борьбе с болезнью мотонейронов и благотоворительную организацию помощи сирийским детям.










