Ценность игроков НБА. Суммы на их сезонных legacy-вкладах
В медиа империи Сильвера есть ниши для случайного зрителя, обращающегося к НБА по случаю без личного интереса: бери хайлайты или смотри полные матчи (если есть время и интересны не только игровые моменты, но и взаимодействия игроков, когда игра остановлена). Есть этажи для фанатов, где акценты смещены в пользу любимой команды или игрока - тут можно найти не только игровые аспекты для погружения и изучения. Есть «экспертные» уровни, где ты можешь найти всё - начиная от математических моделей, измеряющих игровой вклад каждого участника, до болтовни как выразился Дюрант «тв-клоунов», пытающихся препарировать лучших игроков на эмоциональном уровне с минимумом аргументов, но максимумом медийного выхлопа.

Все эти уровни объединяет главный дискуссионный вопрос: «Какой игрок - лучший?».
Лучший - можно трактовать по-разному: на какой дистанции (неделя, месяц, сезон или за всю историю лиги), в каком амплуа, лучший сам по себе или бесценный для своей команды...Кто-то занимается этим вопросом постоянно и аргументировано, другим - это развлечение. Сама ассоциация относится к этому дискурсу серьезно, потому что это не только для поджига спорящих пуканов и погони за хайпом. Трезвая и максимально принимаемая большинством участников спора оценка так же используется для определения эффективности самих работников: что они делают для улучшения показателей лиги. Именно здесь статистика и её грамотный анализ начинают работать на рост финансовых показателей НБА. Поэтому главный индивидуальный приз MVP - это про самого ценного игрока, а не абстрактно «лучшего». Этим трофеем лига даёт ориентир своим работникам в том плане: что именно она ценит больше всего. Иногда ценным становится умение игрока объединить коллег и привести их к победам, в другое время - яркость индивидуального мастерства и выступления может затмить плохие результаты команды и принести награду «единорогу», потому что игрок этим индивидуальным сиянием значительно расширит аудиторию (а с ней и прибыль) ассоциации.
НБА - как любой успешной корпорации - всегда от игроков нужно и то (яркие перфомансы), и другое (победы и доминирование). Сочетать в себе все идеальные черты на таком уровне конкуренции невероятно сложно, поэтому поиск правильной оценки полезности идет непрерывно. Каких только уже работающих математических моделей «замера ценности» нет на текущий момент. Лига изучает не только главных бомбардиров (где на первый взгляд всё просто оценить), но и пытается измерить защиту. Смотрит на эффективность разных бросков с каждой дистанции и угла атаки и выделяет лучших защитных оппонентов в каждом из этих видов нападения.
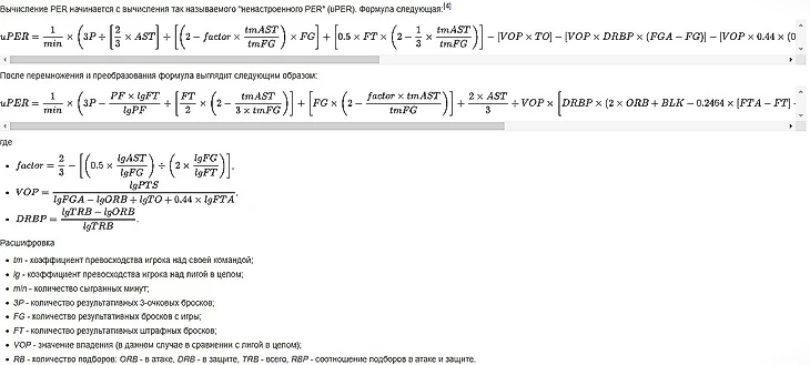
Самый коррелирующий (с наградами, выдаваемыми лигой в последнее время) коэффициент полезности предложил Джон Холлинджер. Его рейтинг эффективности игрока РЕR (Player Efficiency Rating) - невероятно громоздкая конструкция, которая даже в экран полностью не влазит

При попытке подставить в эту формулу все статистические достижения одного игрока для проверки пропадает желание разбираться как аналитик к этой формуле пришёл и не является ли это нагромождение мистификацией. Но!..из последнего: только в сезоне 2022/23 лига вручила трофей MVP не лидеру регулярки по PER - и это был легендарный Эмбиид (31,4) против Йокича (31,5). Что было тогда ключевым фактором при принятии этого решения экспертами - все и так помнят.

Все остальные годы можно, даже не сверяясь, открывать рейтинг регулярки по кэфу Холинждера, и первое место в нем будет у MVP. Даже в спорные годы:
Вестбрук (30,6) в 2016/17 майнит трипл-даблы, но торчит с командой в середине таблицы. При этом уверенно обходит всех более успешных в регулярке конкурентов (Леонард[27,6], Харден[27,4], Леброн[27,0] и Дэвис[27,5]) не только в голосовании (где можно подозревать экспертов в эмоциональной предвзятости), но и на математическом поле Холлинджера (у ближайшего - Дюранта PER=27,6);

Янис (30,9) оказывается обходит Хардена (30,6) в 2018/19 не только своей харизмой и обаятельной непосредственностью;
Стэф (31,5) единогласно забирает симпатии всех экспертов в 2015/16 именно своей качественной работой, а PER второго из рейтинга эффективности Дюранта (28,2) только подтверждает неслучайность и взвешенность этого выбора (хотя игроки с амплуа Карри редко поднимаются высоко в модели Холлинджера)
Единственные несколько сбоев этого коэффициента устроили люди иррационально любимые всеми в этом бизнесе:

Деррик Роуз в 2010/11 (лишь №9 с его PER=23,5), но тогда лига дружно ненавидела ЛеБрона (27,3) после его перехода в Майами и искала новую Мессию. Цифры никого не интересовали
Стефен Карри в 2014/15-м. В голосовании Стэф (№3 с PER=28,0) на голову был выше Хардена (26,7) и ЛеБрона (25,9), но цифры были против этих слюнявых восторгов и на первые места поднимали Энтони Дэвиса (30,8) и Вэстбрука (29,1)
ну и конечно Коби Брайант (№8 в рейтинге с PER=24,2) в 2007/08. Выше Мамбы тогда логарифмы Холлинджера поднимали Тима Данкана (24,4), Новицки (24,6), Гарнетта (25,3) и Амаре Стаудмайера (27,6) финиксовского разлива. Лидерами были ЛеБрон (29,1) и орлеанский ещё Крис Пол (28,3). Но для Брайанта - это был «сезон-искупление» после его злоключений и скандалов, помешавших ему получить трофей на пике своей безумной работы после отъезда Шакила

Этот коэффициент на слуху примерно с 2005-го. Поэтому более ранние сезоны с ним коррелируются не очень, да и ворошить эту древность сейчас не актуально. Поначалу в голосовании за MVP лиги PER cовсем к учёту не принимался. Так, к примеру: Дирк (27,6) в 2006/07 обошел в голосовании пропустившего 31 игру сезона Дуэйна Уэйда (набравшего PER=28,9). Как мы сейчас уже знаем этот критерий (количество выходов на работу) уже давно и негласно вычеркивает «прогульщиков» из дискуссии о самых ценных в НБА. Сейчас это даже закреплено официально. Ну а Стиву Нэшу оба раза трофеи эмвипи скорее всего подарила «белая мафия»:
PER в 2005/06 у канадца =23,3 и №14, для сравнения №1 у Леброна с 28,1
У Нэша PER=22,0 и №17, а у №1 Гарнетта - 28,2. Очевидно второй раз подряд лига Кевина награждать не захотела . Ну а про более древние времена говорить уже не приходится
Главное, что нужно про него знать, что у PER:
- есть уклон в пользу атакующих действий
- на небольшой дистанции он очень высоко поднимает высококлассных запасных игроков, выходящих блестяще, но на небольшие минуты

Так в дебюте этого сезона после первых матчей рядом с Тэйтумом космические коэффициенты имели Карис ЛеВерт и Оньека Оконгву. Но на дистанции более 5 матчей, а уж тем более для анализа эффективности игрока на протяжении всего регулярного сезона этот кэф сложен, но хорош. Плюс он адаптирован к оценке разных эпох (быстрого и медленного) баскетбола, значит можно сравнивать в принципе несравнимые исторические фигуры. Средний показатель PER по лиге в каждом сезоне составляет всегда 15,0, что позволяет ориентироваться во вселенной игроков Холлинджера и достаточно честно расставлять по величине их игрового вклада .
Но всё же хочется немного приземлить эту высшую математику и сделать оценку игроков более умозрительной и понятной взгляду. Поэтому отбросим все логарифмы Холлинджера, но оставим пять ключевых статистических показателей (о которых недавно всем напомнил Вембаньяма своим «файв-бай-файв»).

Для измерения только полезных действий и суммарного вклада игрока на обеих сторонах площадки возьмем простейший ПКК - пятикомпонентный комбайн.
ПКК = очки + подборы + ассисты + перехваты + блокшоты.
В этом коэффициенте (ПКК) нет ничего про негативные аспекты игры, только про объем проводимой работы на паркете. Он простой как лом, но позволит отделить главных звёзд лиги от самых качественных ролевиков, потому что именно звёзды приносят бабки дедушке Сильверу (их он хлопает по плечу и отгружает свою благодарность девятизначными контрактами), поэтому именно звёзды отвечают за результат своих клубов. Среди них нам и выбирать самого полезного.
Чтобы держать своих бесценных старлеток в тонусе лига ведёт учет постоянно и результаты оглашает каждую неделю: лучший игрок каждой недели западной и восточной конференции подытоживается званием лучшего игрока месяца в обеих конференциях. Потому что, если не считать кэфы регулярно, а просто подбить бабки в конце сезона - это откроет лазейки разным прохиндеям, любителям пофилонить на дистанции и попропускать отрезки. Лига специально идет по пути максимизации наград, чтобы на такой марафонской дистанции не было отрезков, на которых пропадает интерес и у зрителей, и у игроков. НБА нужен максимальный хайп не только в апреле-июне. Функционеры уже увидели свой мертвый сезон в ноябре и насытили его играми Кубка НБА. Осталось победить то, во что превратился Матч Всех Звёзд в последние 20 лет...но это не предмет нашего сегодняшнего изучения.

Начнём с простейших форм. То чего не делает сама лига - октябрь в отдельный месяц в НБА никогда не выделяется, лига объединяет его с «тухлым» ноябрем. Однако первая неделя сезона часто озаряет вспышками отдельных рекордных выступлений, потому что первые матчи регулярки - это кульминация подготовительного сезона. И у некоторых бешено взлетает рейтинг в октябрьском промежутке. Правда, этих десяти дней хватает, чтобы ажиотаж подупал, в том числе и у самих игроков. А ноябрь уже идёт под знаком пересмотра своего реального влияния на пейзаж ассоциации и выбора стратегии для того, чтобы хватило сил на весь марафон.

Кто-то со старта буквально рвёт свое пузо так, что хватает неприятные травмы, выталкивающие из рейтингов за главную индивидуальную награду: Банкеро заявил в первой декаде сезона на свой счёт два шикарных матча, залез в самый топ в гонки ценных игроков, чтобы потом диагностировать надрыв косых мышц живота и в декабрьском рейтинге (да и вообще на площадке в этом году) уже не появляться.

Айс Трэй ничего не рвал, но как он это умеет на коротком отрезке - засиял, чтобы обращенные на него восхищенные взгляды прищурились и опять недоверчиво закачали головой. Хотя пока по объему (ПКК) производимой позитивной работы Трей Янг хорош.

К этим трудягам с пробегом с шумом добавляются пока не обремененные завышенными ожиданиями «малолетки» Джейлен Грин из Хьюстона и Кэм Томас из Бруклина. Они - объемные скореры, но со средненьким участием в остальных статистических категориях, хотя качества атакующей работы им хватает, чтобы в гонке бомбардиров залезть в топ-10. Но посмотрите, насколько они менее качественные в КПИ и менее продуктивные в ПКК по сравнению с соседями по этой таблице - Дюрантом и Дончичем (несмотря на ужасный старт сезона в исполнении Луки)

Чтобы среди этих алмазов рассмотреть настоящие бриллианты, нужно в эту картину добавить коэффициент, учитывающий и объем отрицательной работы (промахи и потери игрока). Намусорить статку в лиге всегда много желающих, когда за объемом бросков не ждут безупречности и побед. Поэтому на результативности нельзя останавливаться без КПИ.
КПИ = ПКК - потери - промахи со всех дистанций.
С помощью КПИ мы увидим как резко падает суммарный положительный вклад (ПКК) игроков, не следящих за своей эффективностью. У реально лучших и разносторонне одаренных бомбардиров лиги КПИ всегда больше количества набранных очков. Кто-то (как Дюрант добивается за счёт высоких процентов в бросках с игры), лучшие большие (Зубац, Вуч и Вемби) много майнят на подборах, чем поднимают себя выше бомбардиров или просто компенсируют промахи и потери, оставаясь в зоне «КПИ>очков». Так что результативность здесь - основная, но не единственная стратегия выхода под софиты, и к большим гонорарам можно подходить по-разному, если вписываться в свою роль качественно.
Выборку матчей для рейтинга в октябре берем по американскому времени суток. Так почти у всех «ценных» получается в багаже по 5 матчей, но некоторые умники высоко забрались в рейтинге, проведя в статистических битвах лишь по 4 игры. Ну а поскольку дальнейший разбег по количеству матчей у лидеров рейтинга будет расти по дистанции регулярки - суммарный набор нужно будет дополнить усредненными (за матч) показателями.

Никола Йокич этот сезон готовится провести в роли мученика. Если неудача прошлого плэй-офф в дуэли с Миннесотой выглядела первым звонком, то в межсезонье менеджмент Наггетс сделал всё, чтобы опять подсветить уникальность этого баскетболиста, бросив его совершенно без поддержки в ожидании прогресса молодежи Денвера. «У нас некому стабильно бросать из-за дуги»,- сказал после первых поражений Джокер и начал поливать с дальней дистанции сам. С точностью 3pt%=56,5. Заставит его Кронке отрабатывать каждый из этих 50$ млн в контракте... кто бы заставил снова Джамала Мюррея так же пахать?

Энтони Дэвис опять заставляет судей свистеть ему всё под кольцом, а хейтеров заставляет считать дни до больничной койки - насколько его хватит в таком сумасшедшем режиме...
Тэйтум порадовался (и отвёл душу) на матче-открытия после вручения чемпионских перстней и теперь прёт как танк и тащит свой чемпионский состав к «атаке на новый титул». Защищать Бостону своё чемпионство тренер Мазулла запретил.

Яннис в чехарде тренеров,созданной возможно им самим, начал понемногу придуряться то картошкой, то оленем - но это только на послематчевых прессухах. В самих играх Грек - по-прежнему Машина!.. Но Док Риверс ещё не все свои заготовки использовал: пока неубиваемый тренер на стадии «Это я во всём виноват». А Яннис уже на стадии «Если не начнём выигрывать - меня обменяют»

Это основная теоретическая часть и методология, которые я уже раньше озвучивал, но повторить разок их в начале цикла, который я хочу провести через весь сезон, будет не лишним.
Далее будут обязательные рейтинги «Лучший игрок месяца», потому что такие временнЫе рамки дают хорошую выборку, на которой нет места случайным выскочкам. Дублировать еженедельные рейтинги НБА своим взглядом вряд ли стоит: в том формате могут лидировать игроки с двумя матчами на отрезке. Но даже отрезок из трёх матчей не самый информативный

п.с.: НБА раздает 5 наград «Игрок месяца» за сезон в каждую конференцию - с ноября по март. Эта история пишется с сезона 1979/80, но тогда лига не разбрасывались трофеями на восток и запад: приз получал только один лучший игрок ассоциации, и соответственно ценность награды была повыше. Поэтому у Джордана лишь 19 наград лучшего игрока месяца, а у нового поколения золотишко поперло с двойной скоростью. В сезоне 2001/02 лига расщедрилась до трофея в каждую конфу. В новую эру:
у Леброна Джеймса таких 46 наград (причем есть за обе конференции, две за Лейкерс в январе феврале ковидного 2020),
Дюрант приобрел 20 (Кеша кроме 19 западных урвал и одну восточную в Бруклине в ноябре 2021, плюс два раза делил месяц - с Расселом Вестбруком [12/2015] и Стэфом[01/2017]) ,
у Коби и Шака - по 16 (О'Нил свой последний трофей брал в марте 2005 в Майами),
Стеф заработал 13 таких,
у Хардена -11 (две последние с Бруклином в феврале и марте 2021),
Данкану и Яннису досталось лишь по 9 (но Грек вероятно ещё не закончил),
ну а Йокич уже имеет 7 наград «Игрок месяца в западной конференции», но в этом ноябре у него слишком сильные конкуренты с учетом специфики этой награды - в этом рейтинге НБА всегда награждает лучшего из самой побеждающей команды на отрезке, даже если у такого победителя индивидуальное выступление выглядит скромнее.

Бывают и другие нюансы, как у Энтони Дэвиса на первой неделе: сумасшедшие наборы в ПКК и КПИ, зашкаливающий PER на отрезке, команда с ним даёт 3-0, а показатель «+/-» за неделю отрицательный (-17).
Поэтому однозначную оценку давать всегда сложно, попробуем в этом сезоне отметить все аспекты.




















