Александр Овечкин и его место в снайперской истории НХЛ
Не так давно стартовал очередной сезон НХЛ, который стал для Александра Овечкина уже 19-м в карьере. Легендарный снайпер соревнуется в результативности уже не просто с другими молодыми звёздами, но и с историей – с каждым годом о его «погоней за Гретцки» говорят всё громче. К абсолютному голевому рекорду регулярных чемпионатов НХЛ в 894 шайбы, который казался недостижимым, Александр приближается уверенно и стабильно, невзирая на локаут, ковид и уже солидный возраст. Кажется, своей игрой Овечкин показал всем, что непреодолимых преград не существует.
И всё же задача по-прежнему трудна. Для её выполнения необходимо провести на хорошем уровне ещё 2-3 сезона. Полагаем, что теперь, когда вероятность взятия рекорда составляет примерно «пятьдесят на пятьдесят», самое время подумать: разве теперь, к 40 годам, Овечкин ещё не всё доказал? Так ли важно, будет у него по окончании карьеры 893 и 895 шайб? Разве абсолютные (количественные) показатели полностью отражают показатели качественные?
Ниже мы попытаемся разобраться: каково место «русской восьмёрки» в снайперской истории НХЛ?
В том, что Овечкин – великий снайпер, ни у кого не может вызывать сомнений. Но снайперский уровень измеряется не только совокупным, валовым числом шайб, забитым в регулярных чемпионатах НХЛ. На разных этапах истории лиги длина её «регулярок» изменялась, кроме этого, потенциал многих игроков не реализовывался в полной мере из-за травм, преждевременного окончания карьеры. В выигрыше, соответственно, находятся игроки, избежавшие большого количества травм, и карьера которых пришлась на эпоху продолжительных регулярных чемпионатов.
В связи с этим для оценки снайперского уровня важно иметь в виду и ряд других показателей.
1. Средняя голевая результативность за игру – важнейший показатель продуктивности хоккеиста, позволяющий обратить внимание на качество (буквально – частоту) голов, а не на их совокупное количество. Особенность его заключается в том, что наибольшую репрезентативность он имеет применительно к конкретной исторической эпохе, т.е. если сравнению подлежат хоккеисты, играющие в одно время. Поскольку же средняя результативность самой лиги всегда изменяется, сравнивать по этому показателю игроков из разных эпох не вполне корректно, полученные выводы позволят составить лишь приближённое представление об уровне нападающих.
2. Количество выигрышей ежегодной гонки снайперов – позволяет определить, насколько хоккеист доминировал над современниками на протяжении своей карьеры. В данном случае внимание с количества голов и средней результативности за сезон переключается на реальную борьбу лучших игроков конкретного сезона. С 1999 года за указанное достижение вручается приз «Морис Ришар Трофи».
3. Количество попаданий в топ-10 снайперов по итогам сезона. Показатель позволяет проиллюстрировать, насколько долго игрок оставался топовым снайпером для лиги. Далеко не каждому покоряется звание лучшего снайпера сезона, при этом зачастую отдельные игроки на протяжении множества лет составляют им реальную конкуренцию. В то же время те, кто становился лучшим снайпером, после пары блистательных сезонов могут уйти далеко в тень.
4. Количество попаданий в топ-50 снайперов по итогам сезона. Данный параметр показывает стабильность нападающего, его способность не опускаться ниже определённой планки и играть без перепадов, что существенно для лидера, коими, безусловно, являются элитные снайперы НХЛ.
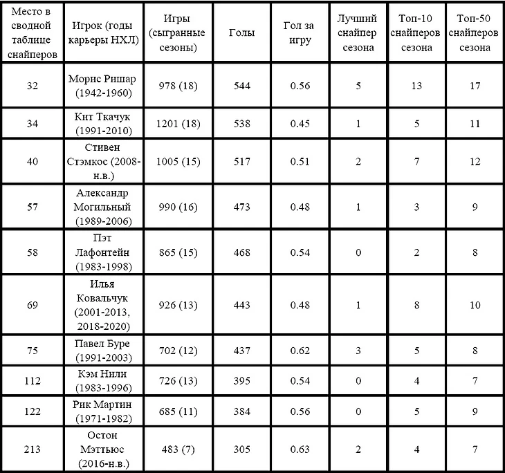
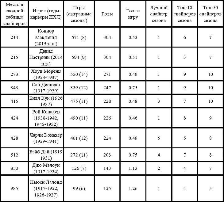
С учётом данных показателей нами было проанализировано около 500 лучших снайперов регулярных чемпионатов НХЛ по совокупному количеству шайб и отобрано несколько десятков фамилий. Во внимание, в первую очередь, были взяты 10 наиболее результативных снайперов в истории лиги, далее указывались игроки, чья средняя голевая результативность за карьеру приближалась к 0,5 шайбы за игру. Данные приведены по состоянию на 15 октября 2023 года, начало сезона 2023 – 2024 в количестве сыгранных сезонов не учитывается.




И да, конечно, нельзя было не добавить Джо Мэлоуна и Ньюси Лалонда – двух гигантов первых сезонов НХЛ, чья запредельная скорострельность при анализе таблиц лидеров сразу бросилась в глаза.
Допускаем, что в приведённый список не попали некоторые другие талантливые игроки, в т.ч. и те, кто становился лучшим снайпером в отдельные сезоны. И тем не менее, есть весомые основания полагать, что при определении 10-15 лучших снайперов в истории лиги (а большего нам сейчас не требуется, хотя приводимые данные могут быть использованы для более широких исследований) в их число попадут все или практически все игроки, отражённые в таблице.
Теперь перейдём к сопоставлению указанных игроков по количеству их успешных сезонов, под которыми понимается попадание в топ-1, топ-10 и топ-50 снайперов по итогам каждого регулярного сезона.

Какие выводы можно сделать из всех приведённых таблиц?
1. Прежде всего, самое очевидное: в общей гонке снайперов явно в выигрышном положении находятся игроки, чья карьера пришлась на эпоху длинных регулярных сезонов. Если в 1940-е годы сезон длился 50 – 60 матчей, то с сезона 1949 – 1950 «регулярка» насчитывала уже 70 игр, а с сезона 1974 – 1975 команды обычно выходили на лёд не менее 80 раз. Соответственно, особенно сложно становится оценивать уровень игроков довоенного времени, которые из-за небольшого количества игр и сезонов редко забивали даже 200 шайб и затерялись ныне среди огромного числа современных хоккеистов, забивших аналогичное количество раз.
2. Наибольшее количество лучших снайперов по общему количеству шайб проводили свои карьеры в 1970 – 1990-х годах, что говорит не только о возросшем количестве матчей, но и об общей высокой результативности того периода, когда количество команд быстро возрастало. На высокую результативность этого периода указывает и тот факт, что многие игроки с весьма приличными показателями результативности за игру редко становились лучшими снайперами лиги или даже попадали в первую десятку по итогам сезона. Майк Гартнер, Марсель Дионн, Дино Сиссарелли, Пэт Лафонтейн, Рик Мартин, а также многие другие хоккеисты имеют крайне высокую результативность – около 0,5 шайбы за игру, однако даже этого не хватало, чтобы взобраться на снайперский олимп или даже стабильно попадать в топ-10 снайперов сезона. В этом смысле показательны и первые годы НХЛ: даже сумасшедшая результативность – более 1 гола за игру – не гарантировала звание лучшего снайпера лиги. Здесь снова возвращаемся к вопросу о необходимости крайне осторожного использования показателя среднеигровой результативности хоккеиста.
3. В истории лиги чередуются эпохи явного доминирования отдельных игроков, которые выигрывали снайперскую гонку 4 и более раза, и периоды «междуцарствия», когда эпоха одного форварда сменялась противостоянием равных без ярко выраженного лидера. (Наглядно список лучших снайперов по сезонам можно посмотреть здесь, а с 1998 года – здесь). Первым всерьёз и надолго захватил лидерство Бэйб Дай, который 4 раза становился лучшим снайпером регулярных чемпионатов. Далее выделяются эпохи Чарли Конахера (лидер на протяжении 5 сезонов), Мориса Ришара (5), Горди Хоу (5), Бобби Халла (7), Фила Эспозито (6), Уэйна Гретцки (5) и, наконец, Александра Овечкина (9).
4. Несмотря на множество достойных фамилий, необходимо выделить ряд игроков с экстраординарными показателями.
- Джо Мэлоун и Ньюси Лалонд (а возможно, и пара других их товарищей) по голевой продуктивности дадут фору любой легенде хоккея. Да, были люди в наше время! Если же говорить серьёзно, то они относились к тем мастерам, кто активно занимался хоккеем ещё до НХЛ, и доминирование их на заре становления этой лиги было неслучайным.
- Следом за ними по результативности идут такие относительно современные игроки, как Майк Босси и Марио Лемье, которые забивали около 0,75 шайбы за игру. Даже на фоне других снайперов 1970 – 1990-х гг. цифры этих форвардов выглядят выдающимися. К сожалению, огромную роль в их карьере сыграли травмы, без которых рубеж в 800 шайб выглядел бы для них абсолютно реальным.
Майк Босси всю свою карьеру, за исключением последнего сезона, в котором сказывалась его травма, входил в список сильнейших игроков лиги, 9 сезонов подряд забивал более 50 шайб, и если бы не пиковый Уэйн Гретцки, титулов лучшего снайпера у него было бы гораздо больше.
Для Супермарио было в порядке вещей идти по графику около шайбы за игру или немногим меньше вплоть до своего 35-летия, однако тяжёлое заболевание и травмы не дали ему установить многие рекорды. Играя в лиге до 40 лет, он провёл лишь 915 матчей, полностью пропустив 4 сезона. Лишь 6 раз он добирался до планки в 70 сыгранных матчей – отсюда и сравнительно редкие его попадания в списки лучших снайперов.
- В 1940 – 1960-е годы эпохи Мориса Ришара, Горди Хоу и Бобби Халла плавно перетекали друг в друга. Уровень и стабильность этих нападающих практически не имеют исторических аналогов.
Морис Ришар, впервые оформивший 50 шайб за 50 игр, также стал первым игроком, преодолевшим отметку 500 шайб в чемпионатах. Из 18 сезонов, проведённых в НХЛ, он 13 раз попадал в десятку лучших снайперов и 17 раз – в топ-50. Пять раз брал гонку снайперов, приз за победу в которой впоследствии был назван в его честь.
Горди Хоу держал планку результативности запредельно долго: 19 раз попадал в топ-10 форвардов и 24(!) раза – в топ-50. Столько не длится карьера большей части хоккеистов. Лишь два раза он миновал топ-50: в свой первый и последний сезон, который Хоу проводил в 52 года, решив уже просто пожалеть молодых и дать им дорогу. Промежуток между первым и пятым выигрышами бомбардирской гонки составил у него 12 лет.
Бобби Халл стал семикратным победителем гонки снайперов и на протяжении всей своей карьеры являлся элитным завершителем атак. В 33 года провёл последний полный сезон в лиге, ставший для него 15-м по счёту – и все эти годы он не выпадал из списка 50 лучших форвардов и почти всегда боролся за лидерство. Затем он лишь в 40 лет провёл небольшую часть сезона в НХЛ и, естественно, большими голевыми подвигами не отметился.
- 1980-е годы – время инопланетян от хоккея. С разницей в 5 лет в большой хоккей пришли Уэйн Гретцки и Марио Лемье, о котором мы уже рассказывали. Однако если Марио из-за травм до своих 2000 – 2500 очков не добрался, то Гретцки реализовал свой потенциал если не полностью, то очень близко к этому.
Как оценить снайперские достижения Уэйна? С одной стороны, 1980-е – это время, когда лига расширилась до 21 одной команды, что подстегнуло рост результативности, сам же хоккеист при этом становился лучшим снайпером «всего» 5 раз, а во второй половине карьеры, после 30 лет, не показывал на этом поприще чего-то выдающегося. С другой стороны – то, что сделал Гретцки до 28 – 30 лет, уже достаточно для того, чтобы считать его одним из величайших снайперов в истории. Свои 500 шайб он забил в рекордные 575 игр в возрасте 25 лет. Кажется, уже после этого можно закончить с хоккеем и иметь все основания считаться лучшим форвардом в истории лиги.
5. Теперь, наконец, обратимся к показателям Александра Овечкина.
- 9-кратный обладатель приза «Морис Ришар Трофи», что без всяких преувеличений позволяет говорить о новой эпохе одного бомбардира со времён Гретцки – «эпохе Овечкина».
- 14 раз попадал в топ-10 лучших снайперов по итогам сезона. Скажем более: эти 14 раз Александр заканчивал сезон не просто в топ-10, а в топ-5, что также является уникальным достижением.
- 18 сезонов, т.е. пока всю свою карьеру в НХЛ, Овечкин держится в топ-50 лучших снайперов лиги, и также уточним: Александр ни разу не заканчивал сезон ниже 20 лучших форвардов – в свои худшие по результативности сезоны он дважды финишировал 18-м. По этому показателю «русская восьмёрка» в скором времени может догнать Горди Хоу.
- Александр относится к тому поколению немногих элитных снайперов, которое начало свою карьеру в 2000-е годы. Объяснить это можно двумя причинами: либо талантливые форварды просто выродились, либо в XXI веке забивать стало труднее, а потому мало кто может похвастать результативностью, близкой к 0,5 шайбе за игру.
Овечкин же, помимо этого, обладает результативностью более чем 0,6 шайбы за игру, что делает его одним из самых доминирующих снайперов в истории (и есть стойкое ощущение, что самым). Его здоровье, неувядаемое спортивное долголетие и мастерство позволяют ему на протяжении двух десятков лет оставаться самым опасным и продуктивным снайпером НХЛ. Голевая машина – пожалуй, наиболее точная его характеристика, выделяющая его среди других великих форвардов.
Так каково же место Александра Овечкина среди других форвардов? Думается, что никакая статистика не может точно ответить на данный вопрос. Реальная игра намного богаче отдельных статистических параметров, которые не учитывают многих нюансов – историческую эпоху, уровень команды (лидер, аутсайдер) и её стиль (атакующий, оборонительный), характер игрока (забить любой ценой либо же сыграть на команду), его набор навыков и лидерские качества (умение забивать ключевые голы, в том числе в плей-офф). Уровень партнёров по звену, исторические особенности спортивного инвентаря, игровое время – эти и другие факторы напрямую влияют на количество заброшенных шайб игрока, хотя и не отражаются в протоколах и статистических выкладках.
При оценке игроков возникают сложности и иного характера. Едва ли можно однозначно выбрать между тем, кто показывает сверхрезультативный хоккей недолгое время, и тем, кто менее результативен, но более стабилен. Здесь уже встаёт проблема вкуса и личных предпочтений. Чему следует отдать приоритет – чистому таланту? Мастерству на льду? Стабильности и долголетию? Умению забивать важные голы?
Исходя из сказанного, полагаем, что составить однозначный «рейтинг» лучших снайперов» в принципе невозможно. Поэтому обозначим без рейтинга лишь круг тех игроков, кто в первую очередь может быть к ним отнесён:
Марио Лемье
Александр Овечкин
Уэйн Гретцки
Бобби Халл
Майк Босси
Горди Хоу
Морис Ришар
Фил Эспозито
Бретт Халл
Остон Мэттьюс
Предпочтение хотелось бы отдать всё же Марио Лемье. Остона Мэттьюса включаем авансом, хотя не возникает сомнений, что он ещё доберёт несколько «Ришаров» – да и чисто статистически включение в список лучших одного игрока из целого поколения не лишено оснований. Что же касается Александра Овечкина, то он, на наш взгляд, точно входит в список 3 – 5 лучших снайперов регулярных чемпионатов НХЛ. Кто-то поставит его на самый верх – и будет по-своему прав, ведь аргументы для этого также находятся самые весомые.
Теперь хочется вновь сказать пару слов о рекорде в 894 шайбы. Всякий рекорд – это раздражитель для спортсмена и повод для повышенного интереса болельщиков. Однако нередко вокруг статистики создаётся странный ажиотаж, она становится элементом шоу для зрителей, которым по каким-то причинам становится неинтересно смотреть саму игру, и больше нужна им, чем самим игрокам. Для хоккеиста же, наоборот, «играть в статистику» весьма опасно, поскольку в погоне за ней можно отвлечься от интересов команды. Когда игрок начинает работать только на статистику, та начинает обманывать сама себя: ведь 500 голов игрока, который во что бы то ни стало стремился их достичь, даже в ущерб интересов команды, явно не то же самое, что 500 голов того, кто о статистике не думает и просто выполняет ту задачу, о которой его просит тренер.
Александр же давно всё доказал и обладает вескими доводами, чтобы считаться лучшим снайпером в истории лиги или одним из таковых. Хочется пожелать ему просто продолжать играть в свой хоккей, сохранять здоровую мотивацию, и это будет приносить успех и рекорды. Полагаем, если желаемый многими голевой рекорд и возможно побить, сделать это сможет именно Александр Овечкин.










Тогда никто не сможет сказать НО.
Овечкин, конечно, не самый лучший игрок в истории, но самым лучшим снайпером он обязан стать.
Иметь такой шанс и им не воспользоваться, он сам себе не простит.
Жаль, Марио Лемье не на все деньги участвовал в этой гонке)
На каком основании? Потому что он (и Босси, кстати) отыграл игр меньше остальных, в результате чего их показатель за игру выше?