Суперкомпьютер просимулировал оставшиеся матчи ЛЧ. Два клуба уже обеспечили место в плей-офф, а у «ПСЖ» большие проблемы
До окончания нового группового этапа Лиги чемпионов осталось провести всего два тура. В лиговой фазе уже сформировались лидеры и аутсайдеры, и если математически еще никто не квалифицировался в плей-офф, то три команды уже вылетели из турнира − «Лейпциг», «Слован» и «Янг Бойз».
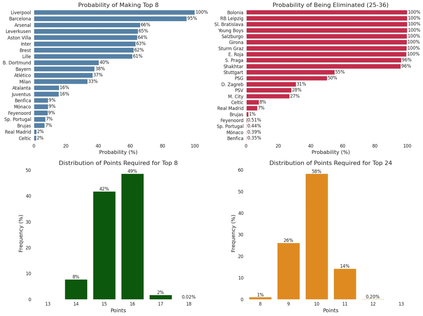
Футбольный болельщик сделал миллион симуляций оставшихся двух туров и сформировал два пула команд по вероятности того, что с ними произойдет. Первый − по шансам попасть в плей-офф напрямую через восьмерку лучших, второй − по вероятности вылететь из топ-24.
Получилось, что «Ливерпулю» и «Барселоне» уже вообще не стоит переживать. Команда Слота набрала 18 очков, выиграв все матчи, а у парней Флика − 15 баллов. Стоит выделить «Мадрид», чьи шансы обойтись без дополнительных двух матчей оценили в 2%.
Список команд, которые претендуют на скорый вылет, не удивляет − «Болонья», «Зальцбург», «Жирона», «Штурм», «Црвена Звезда», «Славия», «Шахтер Донецк». Шансы «ПСЖ» не попасть в топ-24 оцениваются в 50%, а «Ман Сити» − 27%.
Суперкомпьютер считает, что для попадания в топ-8 может хватить шестнадцати или даже пятнадцати баллов, а для топ-24 нужно набрать минимум 10 очков.

















Если чисто математически, то для гарантированного попадания в топ-8 нужно 19 очков, а для топ-24 достаточно будет набрать 12 баллов.
На примере ПСЖ:
1)есть расклад, при котором он может набрать 1-2 балла в двух оставшихся матчах, и этого хватит для попадания в плей-офф.
2)а есть такой, при котором он наберет 4 очка, и всё равно останется без плей-офф...
То есть - 2 победы обеспечивают парижанам выход в 1/16.
А 2 поражения это соответственно 100%-ный вылет из турнира.
Во всех остальных случаях они так или иначе будут зависеть от матчей, проходящих параллельно..