Фердинанд правда дороже Зидана? А Виалли стоил 230 млн на наши деньги? Разбор на запчасти трансферного индекса – и сборка обратно
От редакции: приглашаем вас погрузиться в мегаисследование на основе цифр, которые мы регулярно встречаем в футбольной индустрии. Что, если не такая глубокая проработка, заслуживает плюса, подписки и благодарности автору в комментариях?
Распрощавшись с пандемией, трансферный рынок бодро полетел вверх. АПЛ тратит рекордные деньги на трансферное окно, арабский капитал скупает звезд, «ПСЖ» то ли готов, то ли нет продать Килиана Мбаппе за 250 млн евро, Юрген Клопп объясняется насчет давней иронии о трансфере Поля Погба в «Ман Юнайтед». Здравомысленность цен снова в повестке, интернет заполняется «рейтингами» трансферов всех времен.
Тема футбольной инфляции горяча, но не нова. Однако сами результаты индексаций часто производят впечатление «черного ящика» – чем больше смотришь, тем больше вопросов.
Поэтому я решил копнуть глубже и разобраться, как эти индексы устроены.

Почему потребительская инфляция в футболе не работает
Первыми в корзину ушли трансферы, индексированные по потребительской инфляции (CPI индексам).
Любая инфляция буквально – это рост цен, конкретно потребительская – на потребительскую корзину товаров и услуг. Ей нормально измерять и сравнивать стоимость обычной жизни, но для оценки роста цен, например, на активы она не подходит. Если CPI за год составил 10%, а рынок недвижимости вырос на 20%, то способность купить квартиру упала в 2 раза сильнее, чем способность закупиться в магазине.
В футболе игроки (регистрационные права на них) – это активы. И как на любом другом не потребительском рынке (фондовом, недвижимости, предметов искусства и т.д.) на трансферном существует своя инфляция. Если с 1996 года CPI-индекс по фунту стерлингов составил примерно 2, это не значит, что трансфер футболиста калибра Алана Ширера на пике карьеры сегодня можно осуществить за 30 млн фунтов.
Индексация по средней стоимости трансфера. Кажется, Transfer Price Index сломан
Расчет футбольной инфляции пропорционально средней стоимости впервые был предложен Полом Томпкинсом и ограничен только Английской Премьер-лигой.
Позже Британское кредитное бюро TotallyMoney представило свой вариант Transfer Price Index, расширив его на топ-5 чемпионатов Европы.
Согласно ему, начиная с сезона-1992/93, самым дорогим трансфером стал переход Джанлуки Виалли в Ювентус в 1992 году за 232 млн евро (значок фунтов в начале – неточность на сайте).
В описании к индексу раскрыто, что он основан на топ-100 трансферов каждого сезона в топ-5 лиг Европы по данным Transfermarkt.
На сайте TotallyMoney данные заканчиваются сезоном-2018/19 (смотрим фильтры). Означает ли это, что цены приведены к уровню сезона-2019/20 или все-таки сезона-2022/23, непонятно. Допустим последнего – возьмем данные за сезон-2022/23 непосредственно с Transfermarkt и проверим.
Средняя стоимость топ-100 трансферов в сезоне-1992/93 составила 2,4 млн евро, в сезоне-2022/23 – 34,2 млн евро. Получаем индекс инфляции 14,3 и стоимость Виалли примерно в 236 млн. Небольшое расхождение, но цифра почти такая же. Дополнительная проверка по Неймару дает аналогичный результат.
Теперь давайте посмотрим на графики трансферов сезонов 2022/23 и 1992/93 (ось Y – цена трансфера, ось X – номер трансфера в порядке убывания цены).

Если в сезоне-2022/23 топ-100 трансферов составляет около 18% от их общего числа, то в 1992/93 – это целых 79%. Произошло то, что обычно называется смещением выборки.
В итоге в расчет средней стоимости сезона-1992/93 попало большое количество дешевых трансферов и существенно ее занизило. Чем она меньше, тем выше индекс инфляции к текущему году.
Сравним эти же сезоны по квартилям. Идея простая – все количество трансферов делится на 4 равные части и сравниваются только квартили одинакового ранга. Например, для сезонов с 200 и с 400 трансферами соответственно сравнивались бы топ-50 и топ-100 трансферов, и так далее.

Видим, что результат в несколько раз ниже посчитанного TotallyMoney (14,3).
Сверка входящих данных также дает расхождения: у TotallyMoney по сезону-1992/93 приведены 127 трансферов со средней стоимостью 1,9 млн евро, а на Transfermarkt – 152 трансфера со средней стоимостью в 1,8 млн евро. Трансфер, например, Игоря Шалимова в Интер на Transfermarkt оценен в 6,75 млн евро, а не в 12 млн.
Дело, скорее всего, не в ошибке, а в том, что данные Transfermarkt, особенно по старым годам, постоянно уточняются и дополняются. Цифры же TotallyMoney взяты ими на момент первого расчета индекса и больше не обновлялись.
Это вообще не быстро, но берем с Transfermarkt все последние данные по топ-5 лигам (без учета бесплатных переходов и аренд) и смотрим на общее количество трансферов по годам.
Так как индекс рассчитывается к 2022/23 году, получаем, что выборка от TotallyMoney является более-менее сопоставимой только для сезонов с около 535 трансферами.

Еще один график. Три точки выше 100 млн – это трансферы Неймара, Филиппе Коутиньо и Усмана Дембеле.

Такие значения в статистике относят к экстремальным и обычно исключают из расчетов средних показателей, так как они существенно искажают данные по выборке. Это уникальные для рынка переходы, не характеризующие его общее состояние.
Средняя стоимость топ-100 трансферов сезона-2017/18 с этими значениями – 33,3 млн евро, без них – 29,3 млн евро. Только эта поправка может добавить к индексированной стоимости Неймара несколько десятков миллионов евро.
Не отменяем идею расчета индекса по средней цене трансфера, но к ее реализации от TotallyMoney, скажем так, есть вопросы.
Футбольная инфляция пропорционально росту клубного оборота. Стоит ли Алан Ширер 222 миллиона фунтов
В 2022 году издание The Athletic представило свой вариант индексации трансферов – по клубной выручке. Он ограничен только АПЛ и приведен к сезону-2018/2019, на доходы которого еще не повлияли ковидные ограничения.

Берем от Deloittе данные по клубным оборотам и выборочно по годам делаем проверки на примере трансферов Уэйна Руни (118,6 млн фунтов с инфляцией, 2004/05), Робина ван Перси (52,7 млн фунтов, 2012/13) и Кевина де Брюйне (84,4 млн фунтов, 2015/16).
Выясняем, что расчет действительно сделан от совокупной выручки клубов АПЛ в 2018/19, но не к сезону трансфера, а к предшествующему ему. Цифры совпадают. Подход, что трансфер оплачивается доходами предыдущего года, вполне допустим.
Самым дорогим в индексе The Athletic указан трансфер Алана Ширера в Ньюкасл в 1996 году за 222 млн фунтов. При фактической цене в 15 млн фунтов, индекс инфляции составляет 14,8.
Выручку за сезон-1995/96 в фунтах найти не удалось. Но в одном из исследований приведена цифра в 516 млн евро, что по среднему курсу ЭКЮ (предшественника евро) за этот период дает 431 млн фунтов.
При коэффициенте инфляции в 11,9 (5150 млн / 431 млн) текущая цена трансфера Алана Ширера составляет 178,5 млн фунтов – существенно ниже, чем у The Athletic. Однако, возможно, причина в разнице входящих данных по сезону-1995/1996.
Отвлечемся от проверок и посмотрим в целом на идею индексации трансферов пропорционально выручке.
1. Допущение, что инфляцию определяет общая масса денег на рынке, справедливо, но рост доходов – не единственный драйвер этой массы.
Совокупный приток денег от заемных средств, выпуска акций и вкладов в уставный капитал от владельцев за эти годы измеряется миллиардами.
Например, выручка Челси в годы рекордных закупок 2003/04–2004/05 составила около 300 млн фунтов, а добавочный капитал от инвестиций владельца вырос на сопоставимые 250 млн фунтов. Если добавить только эти деньги к «базовой денежной массе», то итоговый коэффициент индексации уже может быть ниже.
2. Выручка оплачивает не только трансферы, но и другие расходы клубов.
Средняя зарплата футболистов в АПЛ с 1996 по 2019 год выросла с 3,4 до 61 тысячи фунтов в неделю – в 18 раз, значительно больше темпов роста выручки за этот же период.
Если одна статья расходов растет быстрее выручки, вероятно, другие статьи могут расти медленнее, иначе на все не хватит. Корреляция будет отличаться по годам – проверим конкретно для 1996-го.
Берем данные с Transfermarkt и сравниваем темпы роста средней стоимости трансфера в АПЛ в 1996-2019 годах и выручки в 1995-2018 годах (в евро). Подход тот же – трансферы текущего сезона оплачивает выручка предыдущего.

Действительно, заметное расхождение начинается уже с сезона-2002/03, а за весь период средняя стоимость выросла только в 8 раз. И вот Алан Ширер мог бы стоить уже только около 120 млн фунтов.
3. Выручка финансирует весь трансферный бюджет в целом. А он – функция не только от цен, но и от общего количества трансферов. Прирост дохода можно потратить на большее количество игроков по тем же в среднем ценам.

Например, с сезона-2002/03 средняя стоимость трансферов АПЛ падала, но общее их количество росло. В итоге за 5 лет общий трансферный расход вырос в 1,6 раза (с 336 млн евро в 2002/03 до 540 млн в 2006/07), а средняя цена снизилась.
Да, рост клубных доходов разгоняет инфляцию. Но это не единственный ее драйвер и, к тому же, слишком опосредованный параметр для ее расчета.
Если есть данные по ценам пусть на маленьком (150–600 сделок в год), но конкурентном рынке, изменение этих цен во времени и будет инфляцией (дефляцией). При всех сложностях работы с малыми данными, пока не выглядит, что этот подход будет менее надежным, чем расчет по опосредованным показателям.
Вернемся к индексу от TotallyMoney и посмотрим, какие еще узкие места в нем существуют.
Возможно ли починить Transfer Price Index
Входящие данные от Transfermarkt
Выборочная проверка показывает, что цифры Transfermarkt могут отличаться от других источников. Например, по трансферам Уэйна Руни и Дидье Дрогба в сезоне-2004/05 поиск чаще всего выдает суммы в 25,6 млн (иногда 30) и в 24 млн фунтов соответственно. Но на Transfermarkt Дрогба оценен выше, и дело, вроде бы, не в курсовой разнице при пересчете в евро.
Хорошо. Не вариант проверять каждую цифру – посмотрим на данные в целом.
Возьмем с Transfermarkt трансферы по топ-5 лигам за период с 1992 по 2023 год и посчитаем среднюю стоимость по сезонам без каких-либо корректировок (сезон-2023/24 – только за летнее трансферное окно).

Рост совсем не линейный. Особенно обращает на себя внимание пик сезона-2001/02 с последующим жестким падением и возвратом к этому же уровню только через 14 лет. Нормально ли это?
Для привычной нам потребительской инфляции существует представление, что цены все время растут. Но даже с ней это не всегда так. Например, в ЕС с августа 2008 по январь 2010 потребительские цены стабильно снижались, а общий CPI за этот период составил -7,7%.
Что касается рынков активов, то на них дефляция (снижение цен) происходит регулярно.
На этом графике – индекс, покрывающий 90% капитализации фондового рынка Европы, включая Великобританию. Два пика на нем – пузыри 2000 и 2007 годов, сменившиеся кризисами 2002 и 2008 годов соответственно.
Google Finance
Сравнивая с предыдущим графиком, видим, что «трансферный пузырь» конца 90-х начала 00-х во многом обусловлен ситуацией в самой экономике в этот же период.
Причем основным «вкладчиком» в него стала Серия А. Богатые владельцы на росте экономики активно привлекали и вкладывали в футбол деньги (выходы на биржу, выпуски облигаций), но с приходом кризиса местами закончили дефолтами и банкротствами.

Показательно, что если в сезоне-2001/02 средняя стоимость топ-двадцати трансферов по всем лигам составила 34,3 млн евро (из них – 18 трансферов на 20+ млн), то в следующем – только 20,8 млн (8 трансферов на 20+). Снижение кардинальное.
Посткризисное восстановление к 2007 году на трансферном рынке тоже происходит, но другим образом – существенно растет количество сделок (как следствие, общий трансферный расход), а средняя цена нет.

Фактически около 10 лет она «плавает» в одной области. Локальный пик 2009/10 – влияние топовых трансферов Роналду, Ибрагимовича и Кака, без которых средняя стоимость составила бы 4,4 млн евро.
Уверенный рост начинается после повышения ТВ-контрактов в 2013/14 и идет вплоть до корректировки в двух сезонах после ковидного локдауна («скачок» 2017/18 – из-за трансферов Неймара, Коутиньо и Дембеле, без их учета средняя стоимость – 8,8 млн евро).
Совмещенные графики фондового и трансферного рынков показывают, насколько футбол и экономика связаны друг с другом. Хотя конкретные корреляции могут проявляться по-разному и со временем.
Например, в ковидный локдаун дно падения фондового рынка пришлось на март 2020 года, после чего он вернулся к росту, а ожидаемый кризис в экономике не наступил. В трансферах же «провал» продолжался два сезона. Кроме сократившихся в моменте доходов, сработала выжидательная политика клубов на фоне продолжающейся пандемии и неопределенности с рецессией.
Хорошо, а что с левой частью графика?
Совокупный европейский STOXX 600 рассчитывается только с 1998 года, но существуют страновые фондовые индексы, например, британский FTSE 100, французский CAC 40 и др. Как видим, подъем экономики с начала 1990-х поддерживает похожий график роста футбольного рынка и трансферной активности.
Google Finance
Однако проблема здесь, вероятно, все-таки существует и касается полноты данных за этот период.
Transfermarkt основан в 2000 году и сведения за прошлые годы изначально вносились ретроспективно. При этом найти цифры по 90-м в принципе может быть сложно или невозможно, так как рынок и медиа тогда были устроены по-другому. До сих пор на Transfermarkt можно встретить, например, такое (1993/94):

По той же французской Лиге 1 с 1993 по 1996 год цены указаны только для 7, 4, 3 и 4 трансферов соответственно.
Есть вероятность, что отсутствующими данными в большой части могут оказаться свободные трансферы и аренды (обычная для того времени практика в небогатых клубах) или переходы за деньги, близкие к имеющемуся среднему значению по сезону.
Но по факту неизвестно, насколько выборка трансферов с заполненными ценами репрезентативна в отношении всех платных переходов тех лет. Можно предположить (только предположить), что данные по топ-трансферам более-менее полны (обрабатываются в первую очередь, больше доступно сведений). Репрезентативность же остального «хвоста» оценить сложно.
На горизонте более 20 лет назад, чем дальше от текущего года, тем больше могут быть допуски в результатах индексаций.
Основной же пока вывод – как и на других рынках активов, на трансферном периоды роста сменяются периодами падения и стагнации. Индекс не обязательно будет линейно восходящим во всем периоде расчета.
Возможно, из-за представлений о потребительской инфляции это немного контринтуитивно, но все же нормально, что, например, «перегретые» 2000/2001 и 2001/02 могут индексироваться к текущему году меньше, чем кризисные 2002/03, 2003/04 и т.д.
Существует ли общий футбольный рынок Европы
Потребительская инфляция считается по странам – у каждой свои объемы и способы поступления денег в экономику, средний доход, условия производства и импорта разных групп товаров, а в случае с ЕС и Великобританией еще и валюта.
Какой подход работает для футбольного рынка? Если TotallyMoney считали свой индекс по топ-5 лигам, то Томпкинс и The Athletic только внутри АПЛ.
И по доходам, и по трансферным тратам АПЛ с отрывом опережает другие лиги. АПЛ зарабатывает и тратит в фунтах, остальные лиги – в евро. Означает ли это, что инфляцию по ней действительно нужно считать отдельно?
За сезон-2021/22 (последние на данный момент опубликованные данные по выручке) доходы клубов АПЛ минимум в два раза выше любой другой топ-лиги. Однако если взять доходы всех лиг вместе, то ее доля уже не выглядит «контролирующей»: клубы АПЛ заработали 6,4 млрд евро, клубы остальных топ-лиг – 10,6 млрд евро. То есть доля АПЛ в совокупном клубном обороте – 38%. Немало, но не подавляюще.

График средней стоимости трансферов в разрезе лиг (включая летнее окно сезона-2023/24) тоже впечатляет отрывом АПЛ, но говорит скорее о другом.

Например, за последние 20 лет (с сезона-2004/05 по летнее окно сезона 2023/24) средняя цена в АПЛ выросла в 5,5 раз, а в ЛаЛиге и Серии А – всего лишь в 1,3 раза. Обоснованно ли в таком контексте индексировать в текущие деньги, скажем, трансфер Уэйна Руни в Ман Юнайтед в 4 раза больше, чем переход Самюэля Это’о в Барселону? Вряд ли.
Существует ли на рынке надбавка на трансфер в клуб АПЛ? Было бы наивным категорично это отрицать. Однако нет способа ее надежно оценить, и вряд ли она настолько велика, чтобы судить об уникальной обособленности АПЛ. Скорее наряду с общим ростом цен происходит постоянное перераспределение «среднего качества» между лигами согласно их валовым доходам и текущим проблемам и ограничениям.

В сезоне-1996/97 в АПЛ было 49 внутренних трансферов (в/из британских клубов) и 34 международных (в/из иностранных клубов). В последнем трансферном окне – 45 внутренних (это только 10% от всех переходов в топ-5 лиг) и 82 международных. Рынок вполне глобален.
Разные валюты тоже не причина делить инфляцию по странам. Для международного рынка активов нормально присутствие разных капиталов, курс и вес которых определяет общий объем денежной массы на нем.
Если в какой-то момент, скажем, фунт обесценится к евро, то у клубов АПЛ по отношению к европейским станет меньше денег. Скажется это не только на результатах пересчета фунтовых трансферов в евро, но и на покупательской способности конкурировать с другими лигами за игроков. Рынок отрегулируется и зафиксируется в каком-то диапазоне.
И фунт, и евро свободно конвертируются. Неважно, в какой валютной единице выражается стоимость трансферов (Transfermarkt делает это в евро, но можно было бы и в фунтах), экономически – это одна и та же сумма денег. От какой бы валюты не был посчитан индекс – конкретные цифры индекса для разных валют будут отличаться, но экономически – это одна и та же инфляция активов с тем же результатом.

В целом выглядит, что подход TotallyMoney к расчету трансферного индекса более убедителен, чем альтернативные варианты. Посмотрим, есть ли способ его адекватно исполнить.
Считаем индекс
Поработав какое-то время с цифрами, потом еще и еще, первое, что приходится принять, – не существует изящного и единственно правильного решения этой задачи. Причина – характер данных, с которыми мы имеем дело.
1. В отличие от других рынков активов, на которых проходят тысячи – миллионы сделок в год, в нашем случае данные не просто малы, а очень малы – 150–600 сделок в сезон.
2. Это данные с ненормальным распределением и низкой плотностью в верхних диапазонах, из-за чего сложно, иногда невозможно, применять к ним обычные методы очистки от экстремальных значений.
3. У каждого сезона свой профиль изменения и распределения цен, особенно в годах резкого роста или падения. В силу этого сложно подобрать метод, который бы одинаково адекватно подходил для каждого из них.
Все эти пункты делают обработку не только сложной, но и чувствительной, – в некоторых случаях несколько строк выше или ниже заметно влияют на расчет среднего.
Но это не повод опускать руки – пробуем. Этот раздел кому-то может показаться длинным и не самым интересным. Будет скучно – листайте к результатам.
Определяем экстремальные значения
Отнесение трансфера к «экстремальному значению» означает, что мы исключим его из расчета среднерыночной цены, которую он существенно искажает. Посчитанный без этих искажений индекс будет применяться обратно ко всем, в том числе «экстремальным» трансферам.
# 1 Для начала скажем, что в статистике есть способ избежать вычисления экстремальных значений – работать не со средним, а с медианой. В нашем случае он не работает или работает очень плохо.
Посмотрим на график средней стоимости трансферов по квартилям с нанесенной на него медианой (граница между вторым и третьим квартилями).

Профиль поведения верхнего квартиля сильно отличается от поведения остальных и медианы.
При этом совокупные расходы на топ-25% переходов по сезонам составляют от 63 до 73% общего трансферного расхода в году. То есть это наиболее крупная и специфическая часть трансферов, поведение которой в наибольшей степени определяет колебания на рынке. Индексация по медианному значению, больше характеризующему второй и третий квартили, будет здесь существенным искажением.
# 2 Почему нельзя определить экстремальные значения «на глазок». Короткий ответ – потому что «умозрительно» часто означает «математически неверно». Визуальная иллюстрация – на графиках ниже.

Если слева примерно все более-менее понятно (на самом деле нет), то справа заметно сложнее – где проводить границу исключения, на 40, 30, 20 млн?
# 3 Существует принятый способ очистки ненормально распределенных данных – метод межквартильного диапазона.
Вот результат применения этого метода к упомянутому сезону-2015/16. Точки на нем – выбросы, которые определила модель при обычно принятом расстоянии в 1,5 межквартильных диапазона (одна точка может обозначать несколько трансферов по одинаковой цене).
Всего исключено 38 сделок, превышающих границу 18 млн евро. Происходит это по той же причине, по которой не работает медиана. Вес топ-25% трансферов настолько большой, что расчет диапазона от более дешевых границ первого и третьего квартилей отправляет в выбросы в том числе обычные для наших целей значения.
Увеличение количества межквартильных расстояний до 3 (что допустимо) ситуацию улучшает, но не исправляет.
# 4 Хорошо. Если топ-25% трансферов так влияют на результат, попробуем применить тот же самый метод только к ним. Если значение будет экстремальным для верхнего квартиля, то оно тем более будет таким для нижних квартилей и всей совокупности.
Берем верхний квартиль в качестве выборки и внутри него считаем межквартильный диапазон.
Если при 1,5 межквартильном расстоянии ситуация почти прежняя, то 3 расстояния уже выглядят как потенциально работающие – исключены только 5 трансферов. Применяем этот подход ко всем годам и смотрим, что получилось.
Первое – текущий сезон-2023/24, к которому мы будем все индексировать.

Модель исключила только два верхних трансфера (Райс и Кайседо), оставив внутри выборки группу трансферов от 90 до 103 млн евро (Биллингем, Кейн, Коло Муани, Гвардиол). Нельзя категорично сказать «нет», но интервал между этой группой и остальной массой значений пока оставляет вопросы.
Смотрим график границы исключения по всем годам.
Обратите внимание – графики средней цены и границы исключения наложены на разные шкалы. Это может затруднить понимание, но более наглядного способа я не нашел.

Хотя профили этих кривых не должны идеально совпадать, по идее, между ними не должно быть заметной встречной «пилы». Здесь же, например, непонятно почему падает верхняя граница на очевидно растущих рынках 01/02, 15/16, 19/20. Или наоборот заметно растет на падающем 03/04. Есть вопросы и по другим выделенным на графике годам.
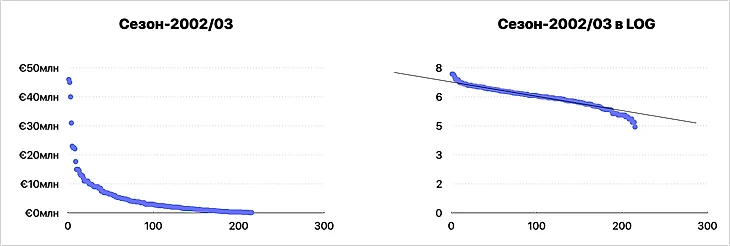
# 5 Возможно, поможет уплотнение данных. Посмотрим на график сезонов 2001/02 и 2002/03.

В падающем сезоне-2002/03 в диапазоне 20–45 млн евро видим единичные значения с большими интервалами между ними. В предшествующем 2001/02 они заполнены.
Как к этому относиться? В сезоне-2002/03 цены кардинально упали, оставив редкие исключения наверху? Или с кризисом клубы временно отложили часть трансферов в этом сегменте цен? Точного ответа нет, скорее всего, правда где-то между.
Сложив оба сезона мы уплотним данные, но заложим в модель инерцию рынка с допущением, что уровень цен текущего года поддерживается в том числе ценами предыдущего. В этом есть определенный смысл – даже в меняющихся условиях клубы так или иначе ориентируются на цены, существовавшие сравнительно недавно.
Пробуем – по каждому сезону к трансферам текущего добавляем трансферы предыдущего, сортируем в порядке убывания и к топ-25% полученного применяем метод межквартильного диапазона в 3 расстояния.
В текущем сезоне-2023/24 граница опустилась до 99 млн евро, исключив четыре стомиллионных трансфера.

Количество сезонов, к которым есть заметные вопросы, уменьшилось.

Не будем делать быстрых выводов – посмотрим, какие еще есть варианты.
# 6 Переведем значения в логарифмическую шкалу. В результате по каждому сезону они преобразуются в следующий вид.

Происходит нормализация данных – почти все точки лежат на прямой диагонали с небольшими «хвостами» по краям. Это означает, что определить экстремальные значения теперь можно другим способом – методом стандартного отклонения.
Сразу скажу, что для большинства сезонов лучше всего сработал следующий подход:
по каждому сезону берем трансферы текущего и предыдущего, сортируем в порядке убывания и переводим в LOG-шкалу;
к полученным значениям считаем стандартное отклонение от среднего;
верхнюю границу определяем на расстоянии 2-х стандартных отклонений.
В сезоне-2023/24, к которому будут индексироваться цены, эта модель исключила все трансферы за 90+ млн евро.

В целом по годам граница исключения избавилась от «пилы», оставив явные вопросы только по двум сезонам – 2013/14 и 2020/21.

В сезоне-2013/14 происходит резкий рост цен в верхнем квартиле (более чем на 30% к прошлому году) при том, что по остальным квартилям роста нет вообще. В результате модель воспринимает этот тренд, как выброс (что по существу не так) и исключает целых 17 трансферов.
В ковидном сезоне-2020/21 ситуация другая. Так как в расчет границы по нему включен дорогой доковидный 2019/20, то модель не видит дорогие трансферы 2020/21 как исключения.
Поэтому конкретно по этим двум сезонам расчет верхней границы делаем только по трансферам текущего сезона, без учета предыдущего. В сезоне-2013/14 это сократило количество исключенных трансферов до 11, а в сезоне 2019/20 – исключило 3 самых дорогих.

Нет ли вопросов по другим сезонам? Есть. В четверти из них тянет добавить / убрать из исключений одну или несколько соседних строк. Но это бы ничем не отличалось от «умозрительного подхода». При тестировании этих корректировок на уже индексированные цены их влияние, как правило, не превышает 5% (по модулю). Скорее придется принять это в качестве допуска модели.
# 7 Теперь основной вопрос – какую из двух моделей выбрать.

Возможно, ответ покажется странным, но у меня нет оснований дисквалифицировать какую-либо из них в пользу другой.
Внешне выглядит, что у метода стандартного отклонения в LOG-шкале меньше явных вопросов по сезонам и он ровнее «подрезает» трансферы по годам.
Но это не значит, что метод межквартильных расстояний будет работать хуже. Да, граница исключения у него в среднем лежит выше. Но так как она выше и для сезона-2023/24, к которому приводятся цены, то индекс по годам может быть сопоставим с предыдущим методом.
Кроме того, во многих сезонах данные наверху имеют очень низкую плотность, и смещение границы даже на 20 млн добавляет в исключения всего несколько трансферов.

Поэтому сделаем расчет по обоим вариантам и сравним.
Примечание: Применение какого-либо из этих подходов влияет только на одно – какие значения будут исключены из расчета средней. Сам алгоритм расчета средней и индекса одинаков в обоих вариантах. Поэтому его я опишу на базе одного метода – стандартного отклонения к LOG-шкале.
Считаем среднюю и индекс
После исключения экстремальных значений оставшиеся трансферы могут быть взяты для расчета средней и индекса. Но брать их все или только какую-то часть – вопрос открытый.
Если цель – сравнить трансферные траты лиг или клубов в целом, то расчет оптимально делать по всем трансферам целиком.
Если же цель – сравнить трансферы игроков «верхнего сегмента», то такой подход может стать упрощением, так как поведение цен в нем сильно отличается от остальных. Поэтому для его индексации возьмем среднюю, посчитанную только по верхнему квартилю, – топ-25% трансферов.

И последний вопрос, прежде чем «взять и поделить», – это использовать фактическую среднюю или скользящую среднюю.
Определяя экстремальные значения, мы уже закладывали в модель допущение, что уровень цен текущего года поддерживается в том числе ценами предыдущего. Скользящая средняя делает то же самое и дополнительно сглаживает ценовые колебания. Но иногда ее действие излишне прямолинейно.

Например, в сезоне-2002/03 при фактическом падении рынка на 22% к прошлому году, сглаживание происходит слишком сильно. А в ковидном 2020/21 она дает уровень выше доковидного 2019/20. В этом больше среднего арифметического, чем экономического.
Поэтому заменим скользящую среднюю на скользящую взвешенную – придадим значениям текущего года вес 75%, а значениям прошлого – 25%.

По полученным значениям скользящей взвешенной рассчитываем индекс к сезону-2023/24.

Индекс не линейный – инфляция сменяется дефляцией и обратно. Моменты быстрого роста и кризисы в некоторых сезонах дают десятки процентов волатильности год к году. Например, рост на +31% (1998/99 к 1997/98, 2000/01 к 1999/00) или +21% (текущий 2023/24 к 2022/23), либо падение на -14% (2002/03 к 2001/02) или -10% (2021/22 к 2020/21).
Результаты и насколько им можно доверять
Индексируем Топ-25% трансферов каждого сезона и смотрим на итоговые Топ-20.

Не знаю, как у вас, а у меня первый взгляд на результат все равно вызвал определенное ощущение «черного ящика», несмотря на всю предшествующую работу с цифрами.
Поэтому проверяя результаты по сезонам и отдельным парам трансферов, я пришел к использованию еще одного показателя – коэффициента отношения стоимости трансфера к уровню рынка. Он основан на фактических ценах и не привязан к индексации как таковой.
Например, фактическая цена перехода Неймара в ПСЖ – 222 млн евро. Среднерыночная цена топ-25% в сезоне-2017/18 – 21,4 млн евро. Отношение первого ко второму дает коэффициент х10,4 – он показывает, сколько раз Неймар был оплачен к среднему уровню рынка в году трансфера.
У Гарета Бейла этот коэффициент равен х8,7 (101 млн / 11,6 млн), у перехода Криштиану Роналду в Реал – х8,3 (94 млн / 11,3 млн).
Сравнивая коэффициенты можно понять, какой трансфер был оплачен к рынку выше еще в момент его осуществления. Неважно, сравниваем ли мы соседние сезоны или сезоны с 20 годами разницы. Кроме того, он помогает заметить не самые очевидные закономерности.
Например, первым футболистом, за кого было заплачено больше х5 к рынку стал Зинедин Зидан в сезоне-2001/02. Отметку x4 преодолевали только 7 трансферов до него и только 4 – в течение семи лет после него.
Ситуация поменялась в сезоне-2009/10, с которого клубы стали доплачивать за звезд и чаще, и заметно больше. По факту, 17 из 20 трансферов топ-двадцатки закрыты в десятилетии с 2009/10 по 2018/19.

Однако у этого коэффициента есть и связь с инфляцией. Поскольку индекс мы считаем как отношение среднерыночной цены сезона-2023/24 к среднерыночной года трансфера, то умножая цену сезона-2023/24 на коэффициент мы, соответственно, получим его индексированную стоимость.
Например, по Неймару умножаем среднюю цену сезона-2023/24 в 29,5 млн евро на тот же коэффициент х10,4 и получаем индексированную стоимость в 306 млн евро.
Поэтому чем больше было заплачено к среднему уровню рынка в году трансфера, тем выше и его стоимость в ценах 2023 года.

Из этого уже можно сделать несколько выводов. Например, что:
трансфер Неймара в ПСЖ был с рекордным отрывом переплачен к рынку еще в 2017-м, а потому является самым дорогим и в индексированных ценах,
трансферы уровня «потенциальный номер один» стоят от x8 к рынку, поэтому цифра в 250 млн евро станет рекордной в номинальных ценах, но обычной для такого рода сделок в индексированных,
в первой двадцатке только переходы с коэффициентом x5 и выше,
если трансфер не был оплачен достаточно дорого к рынку в году сделки, то не может стоить дорого и сейчас.
Важный момент. Если изменить метод очистки данных, выборку или подход к расчету средней, то изменится рассчитанный уровень рынка и конкретные цифры коэффициента. Но общие закономерности останутся теми же – просто в другой шкале измерения.
Тест на чувствительность
Так как для сравнения трансферов игроков «верхнего сегмента» мы рассчитывали индекс по ценам верхнего квартиля (топ-25% трансферов), проверим, насколько изменятся индексированные цены при еще большем сдвиге выборки вверх.
При расчете индекса от топ-15% трансферов изменение индексированных цен превысило 5% только в одном сезоне – 96/97 (6%).
При расчете индекса от топ-10% трансферов изменение индексированных цен превысило 5% только в 5 сезонах – 96/97 (+9%), 97/98 (+8%) 98/99 (+6%), 03/04 (-6%) и 19/20 (+6%).
Причина – отличный от текущего года профиль распределения цен внутри топ-25% (разница цен между топ-10% и остальными топ-10-25%).
Метод межквартильного диапазона
Ну и наконец, смотрим, как изменятся результаты индексации при исключении экстремальных значений методом межквартильного диапазона. Весь остальной алгоритм расчета средней и индекса остается тот же.

Кривая уровня цен в сравнении с предыдущим подходом:

Индексируем трансферы и смотрим результат. В цветных графах – изменение места и разница в индексированной стоимости в сравнении с методом стандратного отклонения в LOG.

Как видим, изменения в целом несущественны. Во второй 10-ке перераспределились места, но диапазон цен принципиально тот же – 150–170 млн евро. Единственный новый трансфер в 20-ке – Жоао Феликс, поднявшийся с 21-го места предыдущего варианта расчета индекса.
Изменение более чем на 5% произошло только в 6 сезонах – 92/93 (-11%), 93/94 (-9%), 02/03 (+10%), 10/11 (-7%), 19/20 (+7%) и 20/21 (+8%). Вряд ли можно определить более точную причину, чем сослаться на разный результат отработки двух методов на разной шкале данных.
Так как изменился расчетный среднерыночный уровень цен по сезонам, то поменялись и конкретные значения коэффициентов к уровню рынка. Закономерности остались теми же.

А что с Джанлукой Виалли и Аланом Ширером, и насколько точен Transfermarkt в 1990-х
Переход Ширера в Ньюкасл был номинально рекордным как в АПЛ (+40% к предыдущему рекорду), так и в Европе (по данным Transfermarkt). Несмотря на это, его коэффициент к рынку 1996 года составил «всего» х3,5. При изменении модели очистки экстремальных значений и в тестах на чувствительность он не пробивает уровень x4.
Это означает, что в индексированных ценах данный трансфер не может стоить существенно дороже 120 млн евро – он просто не был достаточно дорого оплачен к рынку еще в 1996-м. В разных моделях его стоимость варьируется в диапазоне 104–118 млн евро. Можно в целом сказать 110 млн +/-5%.
С трансфером Виалли посложнее.
На Transfermarkt его стоимость указана в 16,5 млн евро, что (при базовом методе стандартного отклонения в LOG) дает индексированную стоимость в 133 млн евро (х4,4 к рынку).
Однако откуда взята цифра в 16,5 млн евро – непонятно. К тому же есть вопрос, кто был трансферным рекордсменом того года – Виалли или Джанлуиджи Лентини (оценка на Transfermarkt – 9,6 млн евро).
Беглый поиск выдает по обоим цифры в диапазоне 12–14 млн где-то в евро, где-то в фунтах. Но в 1990-х итальянские клубы не заключали сделок ни в евро, ни в фунтах – только в миллиардах лир. И их условия не всегда были прозрачными. Уточняем поиск запросом на лиры и смотрим.
Вокруг трансфера Лентини ходило много слухов вплоть до расследования о скрытых платежах. Но сегодня основной консенсус по нему – 18,5 миллиардов лир. Иногда можно встретить общую оценку сделки в 65 миллиардов, из которых 44 – это зарплата и бонусы игрока за 4 года. Соответственно, на трансфер остается 23 миллиарда.
По Виалли на поверхности цифра в 40 миллиардов лир. Но есть нюанс – только часть из нее была оплачена деньгами и данные по сумме расходятся (есть оценки в 4, 10, 22 миллиарда лир). В счет оставшейся Ювентус отдал Сампдории еще четырех футболистов. Так как нет ни точной денежной части, ни официальной оценки этих игроков, то непонятно, как оценить и точную стоимость трансфера. Например, встречаются также общие оценки в 30 миллиардов.
А как все эти цифры бьются с данными Transfermarkt? Пока никак. Если взять курс ЭКЮ к лире на июль 1992 года, то суммы не сходятся ни с одним из вариантов.
Здесь надо вспомнить, что ЭКЮ – условная единица, использовавшаяся в европейской экономической зоне до введения евро. Последний стал официальной валютой в 1999 году и обмен происходил так: евро к ЭКЮ – 1:1, евро к внутренним валютам – по последнему на этот момент курсу внутренней валюты к ЭКЮ.
По выборочным проверкам выясняется, что именно по этим курсам Transfermarkt пересчитывает сделки в евро по всем 1990-м. Даже для пары фунт/евро в эти годы он использует какие-то свои фиксированные курсы (за редким исключением – например, трансфер Ширера в Ньюкасл пересчитан по актуальному).
Так как для лиры такой фиксированный курс равен 1936, получаем, что трансфер Виалли на Transfermarkt – это 32 миллиарда лир (16,5 млн евро), а Лентини – 18,5 миллиардов лир (9,6 млн евро). По фактическому курсу к ЭКЮ на июль 1992-го эти же миллиарды дают 20,6 млн евро и 11,9 млн евро соответственно.
Теперь вопрос – использование таких курсов влияет на результаты индексации? Влияет.
Расчет инфляции на рынке с разными капиталами корректен до тех пор, пока для этого используются действительные для каждого периода курсы. То есть корректно определяется и стоимость сделок, и общая оценка рынка в эквиваленте.
Заметные отклонения курса внутренних валют к ЭКЮ от фиксированных курсов обмена на евро наблюдаются примерно до 1996-1997 годов.
Для проверки делаем перерасчет по историческим курсам ЭКЮ на примере двух сезонов – 1992/93 и 1996/97. Используем упрощенное допущение, что все трансферы (в том числе, международные) в Серию А – это лиры, в Ла Лигу – песеты и т.д.
В сезоне-1992/93 пересчитанная средневзвешенная составила 4,1 млн евро, индекс – 7,19, а отклонения в индексированных ценах трансферов в разных валютах – от 11 до 17% (по модулю). С учетом корректировки, текущая стоимость трансфера Виалли (из допущения 32 миллиарда лир) увеличилась до 148 млн евро (х5 к рынку).
В сезоне-1996/97 отклонения в индексированных ценах трансферов в разных валютах составили от 3 до 10% (по модулю), а в следующем 1997/98 – уже не более 2%.
Как видим, как минимум до сезона-1997/98 к входящим данным Transfermarkt по 1990-м есть вопросы не только по полноте, но и по денежной оценке.
Имело ли все это смысл и как к этому относиться
Каким бы большим не был соблазн составить «рейтинг» и зафиксировать трансферы по конкретным местам, не существует единственного правильного способа посчитать и «высечь в камне» точные цифры футбольной инфляции.
Качество данных, допущения, метод расчета – все влияет на конечный результат. Индексированная стоимость – всегда оценка с вероятностью и допуском.
По использованному здесь подходу сравнительные расчеты дают высокую вероятность полагаться на диапазон до 5% по большинству лет, а для середины 1990-х – 10%, возможно 15% – для их начала. Очень сложно надежно индексировать что-то на горизонте 30 и более лет назад. Попытка оценить трансфер Марадоны в Наполи дала разброс в 290–360 млн евро, и непонятно, какой границе можно доверять больше.
Однако, если относиться к индексации не как к «рейтингу», а как к способу посмотреть на развитие и общие закономерности трансферного рынка, то такого уровня точности становится вполне достаточно.
Футбольная инфляция нелинейна, и необязательно, чем старше, тем выше индексация. Резкие взлеты и падения покупательской способности клубов также резко влияют на цены, и фактические десятки процентов роста или падения год к году – историческая реальность.
Топ-рынок 1990-х отличается от топ-рынка 2010-х.
В 2010-х за топ-звезд платили к рынку на 60-70% процентов больше, чем в 1990-х. Если бы Ширер родился на 20 лет позже и феерил в 2010-х, возможно, что его пиковый трансфер обошелся бы в x5,8 и стоил 170 млн евро в текущих деньгах. Случись трансфер 20-летнего Роналдо в Интер в 2010-х, вполне вероятно он мог пройти за x7,5 и стоил бы сегодня 220 млн евро.
По факту же, до 2009 года только трансферы Зидана в 2001-м и Шевченко в 2006-м (возможно, Виалли в 1992-м) были оплачены выше х5 к рынку .
Топ-10 трансферов – это только ПСЖ, Реал и Барселона в «жирное» десятилетие 2009 – 2018. Доминирующая сегодня деньгами АПЛ пока не повторяет эти цены. С высокой вероятностью кто-то из пары Погба–Торрес все еще самый дорогой трансфер в ее истории (170 млн +/-5%).
Из-за последствий пандемии сложно делать какие-либо долгосрочные выводы в отношении 2020-х – фактически только этим летом рынок преодолел уровень доковидного сезона-2019/20.
Текущий уровень цен для трансфера «потенциальный номер один» – около 250 млн евро, но не факт, что его кто-то повторит в существующем контексте ФФП.
Индексированная средняя стоимость топ-20 трансферов нападающих примерно в полтора раза выше средней стоимости топ-20 трансферов полузащитников и почти в два раза – топ-20 защитников.
В топ-20 трансферов полузащитников только трансферы за 100+ млн евро, и Фернандес, Райс, Кайседо и Беллингем уже в этой компании. За защитников 80+ млн евро стали платить еще в 2000-x. А Зидан дороже Фердинанда.
В заключение еще раз итоговый топ-20, а также несколько срезов данных по амплуа и 1990-м.
Надеюсь, вам было интересно ✌🏻
Примечание:
Презентованные цифры не округлены. Например, трансфер за 90 млн – это и 90,0, и 89,6 млн, а коэффициент x5,0 – это и x5,03, и x4,96.
Расчеты сделаны на данных Transfermarkt по состоянию на сентябрь 2023 «как есть» без их факт-чекинга и уточнения.






Фото: Gettyimages.ru/Laurence Griffiths; inpho.ie/INPHO/Allsport
















Когда долгое исследование с приведением расчетов и фактов подкреплено итогом с интуитивно понятными и чётко оформленными таблицами - это просто браво!)
К этому материалу нечего добавить, нужно лишь выделить полчаса на прочтение, спасибо!
В целом они первые и раздули рынок до бешеных денег
С учетом специфики моей работы - с особым интересом прочитал. Спасибо автору, всегда тоже крайне беспокоил этот вопрос
вообще, цены, а так же зарплаты, поползли вверх аккурат через год-два после дела Босмана. Абрамович и его деньги от российской нефти подняли их на душераздирающую высоту.