Левые защитники и латерали Российской Премьер-Лиги 2020/21: сравниваем статистические показатели 15 футболистов
Кто сыграет в ближайших матчах сборной России на левом краю защиты? Скорее всего, Ю. Жирков. Если справа в обороне есть не только пока травмированный М. Фернандес, но и В. Караваев, а также вызванный в сборную Д. Живоглядов, то на позиции левого защитника/латераля такого выбора нет.
Если рассмотреть список игроков, играющих в командах Российской Премьер-лиги на левом краю обороны, то можно увидеть нехватку российских игроков этого амплуа. В статье по правым защитникам 2 недели назад [https://www.sports.ru/football/blogs/2849378.html] мы отмечали лишь двух легионеров в основных составах клубов РПЛ, а в подавляющем большинстве клубов на позиции RB выступают российские игроки, в том числе и несколько молодых защитников.
В амплуа левого защитника/латераля ситуация гораздо сложнее, в основных составах клубов РПЛ легионеров больше, чем российских игроков. Вот и в Зените на левом краю обороны в основе выходит бразилец Д.Сантос, а Ю.Жирков играет мало, однако в сборной он является основным игроком.
В этом материале проанализируем футбольную статистику за 14 прошедших туров РПЛ для основных левых защитников и латералей нашего чемпионата. Среди них много опытных и молодых легионеров: бразильцы Д.Сантос и Л.Айртон, игроки сборных Казахстана и Беларуси Б.Зайнутдинов и Н.Золотов, эквадорец К. Рамирез, вызывающийся в сборную Польши М.Рыбус, а также сербский защитник М.Богосавац, немецкий Р.Бауер, словенский Б.Йокич и россиянин с нигерийским паспортом Б.Идову. Список российских левых защитников/латералей, стабильно выступающих в основном составе своих клубов, очень узок: Д.Скопинцев и Е.Чернов, а также несколько игроков, потерявших место в основном составе (Э.Набиуллин, М.Меркулов), и 21-летний Д. Степанов.

Используем 12 показателей, отложенных по 12 лучам:
1 – Голы (×5) + удары, 2 – Успешный дриблинг, 3 – Контроль мяча, 4 – Короткий пас, 5 – Длинный пас, 6 – Ассисты (×5) + Ключевые передачи, 7 – Успешные отборы, 8 – Перехваты, 9 – Блокирование кроссов и передач, 10 – Фолы на нем, 11 – Мало фолит сам и мало ЖК (×-4), КК (×-8), 12 – Выигранных верховых единоборств. Все показатели – в среднем за 90 минут.

Дополнение

Наилучшие оборонительные показатели: Отборы, Перехваты, Блоки кроссов и передач (лучи 7, 8, 9) отмечены у легионеров Н. Золотова и М. Богосоваца, а также у молодого российского защитника Д.Степанова. Наиболее низкие рейтинги оборонительных показателей получены у Б.Йокича, М.Меркулова и Э.Набиулинна. Не случайно эти игроки к настоящему моменту потеряли места в основном составе своих клубов.
Наилучшие показатели игры в пас, ключевые пасы и ассисты (лучи 4, 5, 6) у Д.Сантоса, который лидирует в этом рейтинге с большим отрывом, вторым по этому показателю является К. Рамирез из Краснодара. Наиболее низкие значения этих комбинационных показателей отмечены у Е.Чернова и Д.Степанова.
По успешной игре в атаке наилучшие показатели Контроля мяча, Успешного дриблинга и Голы+удары (лучи 3, 2, 1) демонстрируют Л. Айртон и Д.Скопинцев. Наиболее низкие значения этих атакующих показателей отмечены у Б.Йокича и Э.Набиуллина.
В верховых единоборствах (луч 12) уверенно лидирует молодой игрок сборной Казахстана Б.Зайнутдинов, также умеют играть в воздухе Б. Идову и Е. Чернов.
Если суммировать все показатели, то наибольшую пользу своим командам приносят бразильцы Д.Сантос и Л.Айртон, на третьем и четвертом местах К.Рамирез и Б.Зайнутдинов. Российские игроки в этом сезоне пока показывают средние суммарные рейтинги: Д.Скопинцев – 8-й, Е. Чернов – 10-й, но их можно рекомендовать в сборную России. Отметим и молодого Д.Степанова (Ротор), который демонстрирует активную игру, на нем часто фолят, и он сам фолит, много играя как в обороне, так и поддерживая атаку.

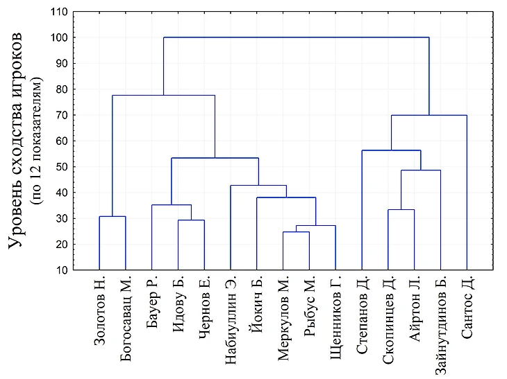
Отдельно рассмотрим игровые профили левых защитников РПЛ с помощью диаграмм кластерного анализа. Наиболее яркими представителями ориентированных на оборону левых защитников являются Н.Золотов и М.Богосавац, к этому типу уделяющих основное внимание оборонительной игре можно также отнести опытных Б.Идову, Е.Чернова и Р.Бауера.
Наиболее комбинационную игру с продуктивным подключением в атаку и большим количеством пасов, результативными ключевыми передачами и ассистами показывают Д.Сантос, Б.Зайнутдинов, Л.Айртон, Д.Скопинцев, попадающие в один кластер.

Таким образом, в основных составах клубов Российской Премьер-лиги крайне мало сильных российских левых защитников/латералей. Лучшие агрегированные показатели футбольной статистики в РПЛ показывают бразильцы Д.Сантос (Зенит) и Л.Айртон (Спартак М). Возможные кандидатуры левых защитников/латералей для приглашения в сборную России: Д. Скопинцев (Динамо М) и Е. Чернов (Краснодар).
В статье использованы статистические данные, представленные на сайте ru.whoscored.com
















Или ты из Москвы,и сказали отнёс не писать???