Правые защитники и латерали Российской Премьер-Лиги: сравниваем статистические показатели после 12 туров сезона 2020/21
В недавнем матче сборной России не смог принять участие М. Фернандес и оказалось, что заменить его очень трудно. Несмотря на то, что в большинстве клубов РПЛ на правом краю обороны играют российские игроки, сборная испытывает нехватку хороших игроков на этой позиции.

В этом материале проанализируем футбольную статистику за 12 прошедших туров РПЛ для основных правых защитников и латералей нашего чемпионата. Среди них много опытных игроков этого амплуа: М. Фернандес, С. Петров, А. Козлов, Ф. Уремович, С. Паршивлюк, Д. Кулаков, А. Рыбин, А. Сухов, зрелые игроки – В. Караваев, Т. Маргасов, Д. Живоглядов, а также несколько молодых – 21-летний М. Ненахов, 19-летние Д. Хлусевич и К. Боженов.
Используем 12 показателей, отложенных по 12 лучам:
1 – Голы (×5) + удары, 2 – Успешный дриблинг, 3 – Контроль мяча, 4 – Короткий пас, 5 – Длинный пас, 6 – Ассисты (×5) + Ключевые передачи, 7 – Успешные отборы, 8 – Перехваты, 9 – Блокирование кроссов и передач, 10 – Фолы на нем, 11 – Мало фолит сам и мало ЖК (×4), КК (×8), 12 – Выигранные верховые единоборства. Все показатели – в среднем за 90 минут.

Наилучшие оборонительные показатели: Отборы, Перехваты, Блоки кроссов и передач (лучи 7, 8, 9) отмечены у Ф. Уремовича и Д.Кулакова, оба игрока являются легионерами. Наиболее низкие значения этих оборонительных показателей отмечены у Р. Зобнина, который недавно начал играть на этой позиции, и у Д. Живоглядова . У основного игрока сборной России – Марио Фернандеса – лучший показатель по перехватам, а вот по отборам и блокам кроссов, передач он в этом сезоне пока не блещет.
Наилучшие показатели игры в пас, ключевые пасы и ассисты (лучи 4, 5, 6) показали В. Караваев и Д. Живоглядов. Наиболее низкие значения этих комбинационных показателей отмечены у А. Сухова и К. Боженова.
По успешной игре в атаке наилучшие показатели Контроля мяча, успешного дриблинга и Голы+удары (лучи 3, 2, 1) демонстрируют в этом сезоне С. Петров и Д. Хлусевич. Наиболее низкие значения этих атакующих показателей отмечены у Д. Живоглядова и А. Козлова.
В верховых единоборствах (луч 12) уверенно лидирует игрок сборной Хорватии Ф. Уремович, однако именно он и чаще всех фолит и получает много желтых карточек.
Если суммировать все показатели, то наибольшую пользу своим командам приносят С. Петров, Д. Кулаков и Ф. Уремович, а наименьшую – А. Сухов и К. Боженов. По сумме всех показателей в этом сезоне пока сильнее М. Фернандеса из российских игроков показывают себя С. Петров и Т. Маргасов и примерно такой же уровень демонстрирует В. Караваев, который и выступал за сборную России на правом краю обороны в недавнем матче. Молодые игроки М. Ненахов, Д. Хлусевич, К. Боженов почти не уступают более опытным футболистам в оборонительных показателях, но показывают слабую статистику в комбинационной игре в пас.
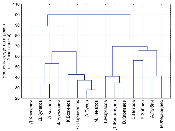
Отдельно рассмотрим игровые профили правых защитников РПЛ с помощью диаграмм кластерного анализа. Все оборонительные показатели и умение вести верховые единоборства объединяются в один кластер, в другой попадают все показатели игры в пас, в третий – атакующие показатели. Отдельными умениями являются контроль мяча и дисциплинированность игрока, которые формируют общий кластер.

Наиболее яркими представителями ориентированных на оборону правых защитников являются Д. Кулаков, А. Козлов, Ф. Уремович, к этому типу уделяющих основное внимание оборонительной игре можно отнести также опытных С. Паршивлюка, А. Сухова и молодых М. Ненахова и К. Боженова.
Если сравнивать с М. Фернандесом, то наиболее сходный набор действий, но в меньшем объеме, выполняет А. Рыбин из Тамбова, похожи по своим показателям С. Петров и Р. Зобнин. Наиболее комбинационную игру с большим количеством пасов, результативными ключевыми передачами и голевыми ассистами показывают В. Караваев, Д. Живоглядов и Т. Маргасов, попадающие в один кластер.

Таким образом, правые защитники в нашей РПЛ достаточно разноплановые, разновозрастные и главному тренеру сборной С. Черчесову есть из кого выбирать.
В статье использованы статистические данные, представленные на сайте ru.whoscored.com



















